Предмет: Математика,
автор: Oh1sorry
решите пожалуйста :)
Приложения:
Ответы
Автор ответа:
2
ответ:
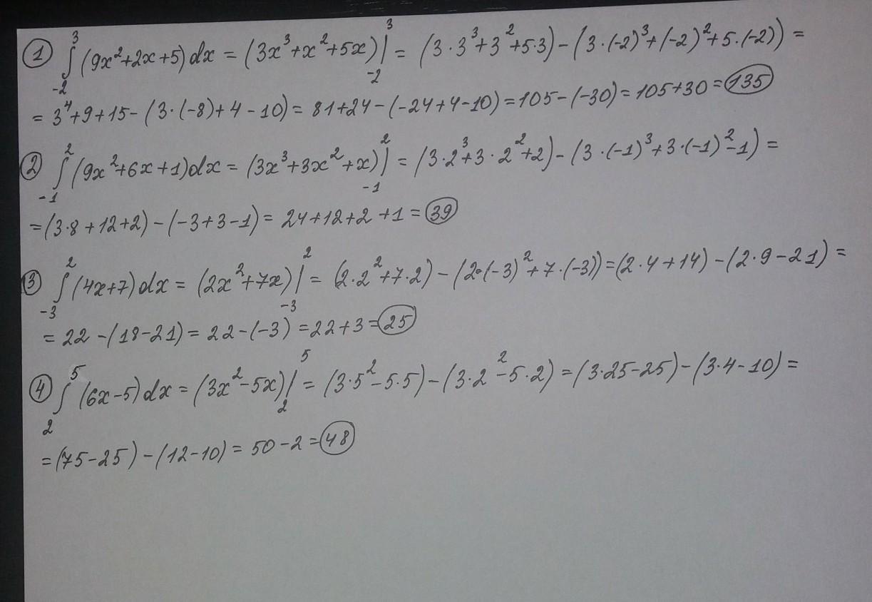
1) 135
2) 39
3) 25
4) 48
решение:
во вложении
Приложения:
Автор ответа:
1
1) 9х³/3+2х²/2+5х=3х³+х²+5х, по формуле Ньютона - Лейбница найдем определенный интеграл. 3*3³+3²+5*3-(-24+4-10)=105+30=135
2) 9х³/3+6х²/2+х=3х³+3х²+х, по формуле Ньютона - Лейбница найдем определенный интеграл. 3*2³+3*2²+2-(-3+3-1)=38+1=39
4) 3х²-5х,по формуле Ньютона - Лейбница найдем определенный интеграл. 3*5²-25-12+10=48
3) 2х²+7х, по формуле Ньютона - Лейбница найдем определенный интеграл. 8+14+-18+21=25
Похожие вопросы
Предмет: Русский язык,
автор: renata12375675885
Предмет: Русский язык,
автор: Angel10072001
Предмет: Русский язык,
автор: Аноним
Предмет: Математика,
автор: alfard