Предмет: Математика,
автор: errorchara101
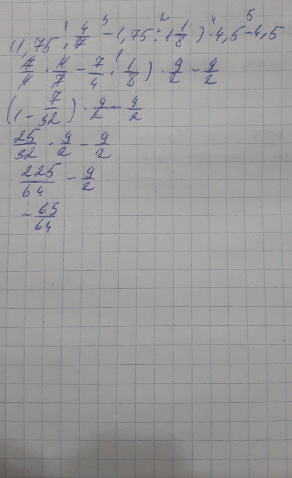
(1,75*4/7-1,75:1 1/8)*4,5-4,5= Решите пожалуйста по действиям очень надо
Ответы
Автор ответа:
2
Ответ:
у вас немного не понятна запись,возможно т9 изменил и я решил так как понял...
Приложения:
Похожие вопросы
Предмет: Русский язык,
автор: Simbaaa
Предмет: Русский язык,
автор: Ленсаш
Предмет: Русский язык,
автор: zcvbvet356
Предмет: История,
автор: agigpao
Предмет: Математика,
автор: danysik123