Предмет: Алгебра,
автор: hanter03kzmiko
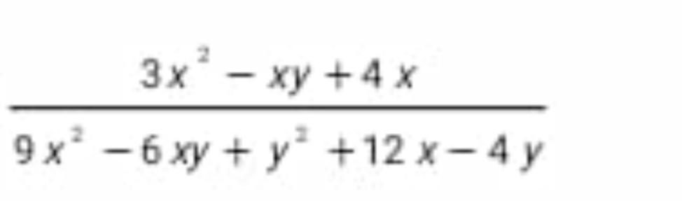
Бөлшекті қысқарту укоротить часть
Приложения:
Ответы
Автор ответа:
4
Объяснение:
Автор ответа:
6
В числителе вынесем за скобку общий множитель, в знаменателе соберем по формуле квадрата разности двух выражений первый квадратный трехчлен, а два других члена сгруппируем, вынося за скобку общий множитель. затем вынесем скобку за скобку в знаменателе и сократим на общий множитель числителя и знаменателя. Получим.
х*(х-у+4)/((3х-у)²+4*(3х-у))=х*(3х-у+4)/((3х-у)*(3х-у+4*)=х/(3х-у)
Похожие вопросы
Предмет: Английский язык,
автор: ДаКоТа666
Предмет: Английский язык,
автор: pucknorris2
Предмет: Английский язык,
автор: vinnikvlad2014
Предмет: История,
автор: elizavetakuv
Предмет: Литература,
автор: filippmaksjura