Предмет: Алгебра,
автор: Аноним
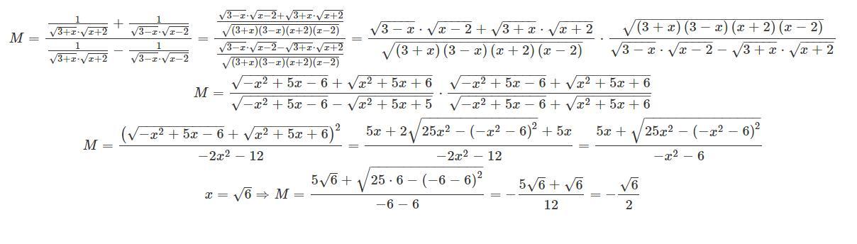
Сделать указанную подстановку и результат упростить.
Ответы
Автор ответа:
4
///////////////////////////////////////////////////////////
Приложения:
Похожие вопросы
Предмет: Русский язык,
автор: питер111
Предмет: Русский язык,
автор: Настя10102004
Предмет: Русский язык,
автор: cchemodan72
Предмет: Математика,
автор: valeria20062
Предмет: География,
автор: Аноним