Предмет: Алгебра,
автор: xo4y3natt
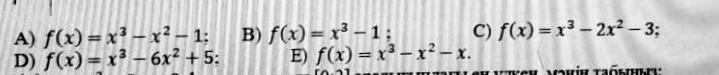
График какой функции показан на фото?
Приложения:
Ответы
Автор ответа:
0
Ответ:
Думаю вариант "А" или даже вариант "Е"
Похожие вопросы
Предмет: Русский язык,
автор: No1zeMC
Предмет: Английский язык,
автор: myzaitegna1
Предмет: Русский язык,
автор: Aleksa201211
Предмет: Математика,
автор: АнгелБожий