Предмет: Алгебра, автор: snatsuki55

Сократите дробь, 8 класс​

Приложения:

Ответы

Автор ответа: NNNLLL54
1

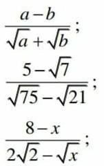
1)\ \ \dfrac{a-b}{\sqrt{a}+\sqrt{b}}=\dfrac{(\sqrt{a}-\sqrt{b})(\sqrt{a}+\sqrt{b})}{\sqrt{a}+\sqrt{b}}=\sqrt{a}-\sqrt{b}\\\\\\2)\ \ \dfrac{5-\sqrt7}{\sqrt{75}-\sqrt{21}}=\dfrac{5-\sqrt7}{\sqrt{25\cdot 3}-\sqrt{7\cdot 3}}=\dfrac{5-\sqrt7}{5\sqrt3-\sqrt7\cdot \sqrt3}=\dfrac{5-\sqrt7}{\sqrt3\cdot (5-\sqrt7)}=\\\\\\=\dfrac{1}{\sqrt3}=\dfrac{\sqrt3}{3}

3)\ \ \dfrac{8-x}{2\sqrt2-\sqrt{x}}=\dfrac{(\sqrt8-\sqrt{x})(\sqrt8+\sqrt{x})}{\sqrt{4\cdot 2}-\sqrt{x}}=\dfrac{(\sqrt8-\sqrt{x})(\sqrt8+\sqrt{x})}{\sqrt{8}-\sqrt{x}}=\\\\\\=\sqrt8+\sqrt{x}=2\sqrt2+\sqrt{x}


snatsuki55: от души, я тебя люблю
Похожие вопросы
Предмет: Русский язык, автор: ayanwaxbazova