Предмет: Алгебра,
автор: Kotsipakksusha
Допоможіть пж Половину зробила а далі не виходить)
Приложения:
Ответы
Автор ответа:
2
Ответ:
=================================
Объяснение:
Приложения:
Автор ответа:
1
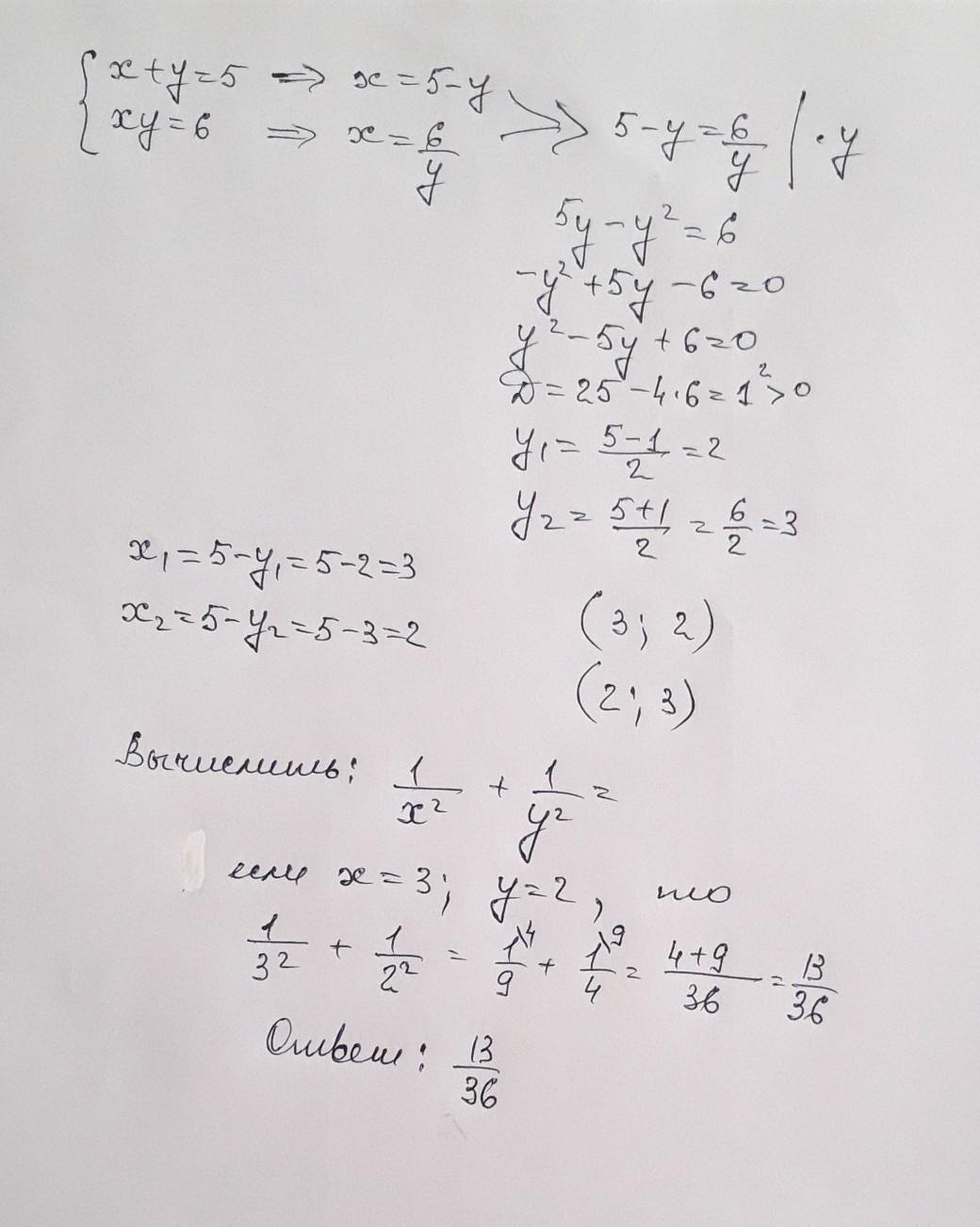
Ответ:
13/36
Объяснение:
Прошу 3мин. на загрузку.1
Приложения:
Похожие вопросы
Предмет: Русский язык,
автор: Selfie
Предмет: Английский язык,
автор: vladsorokin20
Предмет: Русский язык,
автор: Полюшка21
Предмет: Алгебра,
автор: FuntimeSchikura12
Предмет: Биология,
автор: vanyamedwedkov