Предмет: Алгебра, автор: vladimirsemeryuk

Векторы. Решить задачу из прикрепленного файла.

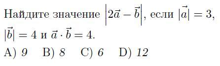
Приложения:

Ответы

Автор ответа: NNNLLL54
1

|\vec{a}|=3\ \ ,\ \ |\vec{b}|=4\ \ ,\ \ |\vec{a}|\cdot |\vec{b}|=4\\\\\boxed {\ \ (\vec{a}\cdot \vec{a})=\vec{a}^2=|\vec{a}|^2\ \ }\\\\(2\vec{a}-\vec{b})^2=4|\vec{a}|^2-4\vec{a}\cdot \vec{b}+|\vec{b}|^2=4\cdot 3^2-4\cdot 4+4^2=36\ \ \ \Rightarrow \\\\|2\vec{a}-\vec{b}|=\sqrt{36}=6

Автор ответа: MaxLevs
1

Вектора 2\overline a, \overline b и 2\overline a - \overline b образуют треугольник.

|\overline a| = 3 \Rightarrow |2\overline a| = 6 = A.

|\overline b| = 4 = B,

|2\overline a - \overline b| = C

По двум сторонам и углу можно определить третью сторону:

C = \sqrt{A^2 + B^2 - 2AB\cos{\gamma}}, где \cos{\gamma} = \frac{\overline a \cdot \overline b}{|\overline a| |\overline b|} = 4 / (4*3) = \frac{1}{3}.

C = \sqrt{36 + 16 - 2*6*4*\frac{1}{3}} = \sqrt{\frac{156 - 48}{3}} = \sqrt{\frac{108}{3}} = \sqrt{36} = 6

C = 6- ответ.

=================================

Ваши оценки и отзывы помогают лучше оценить качество ответа.

Если ответ удовлетворил, не забудь отметить его как "Лучший".

Успехов в учёбе!

=================================

Похожие вопросы
Предмет: Английский язык, автор: Ангелино4ка28