Предмет: Алгебра,
автор: Nurzhan94
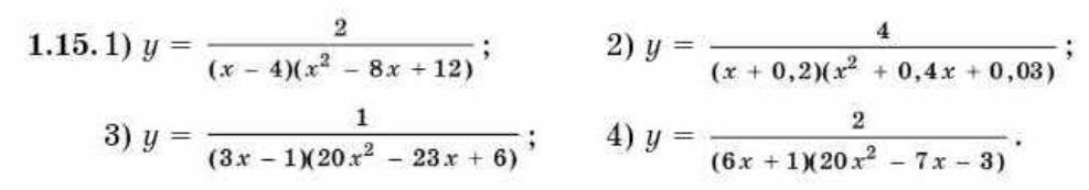
найдите области определения функций
Приложения:
Ответы
Автор ответа:
1
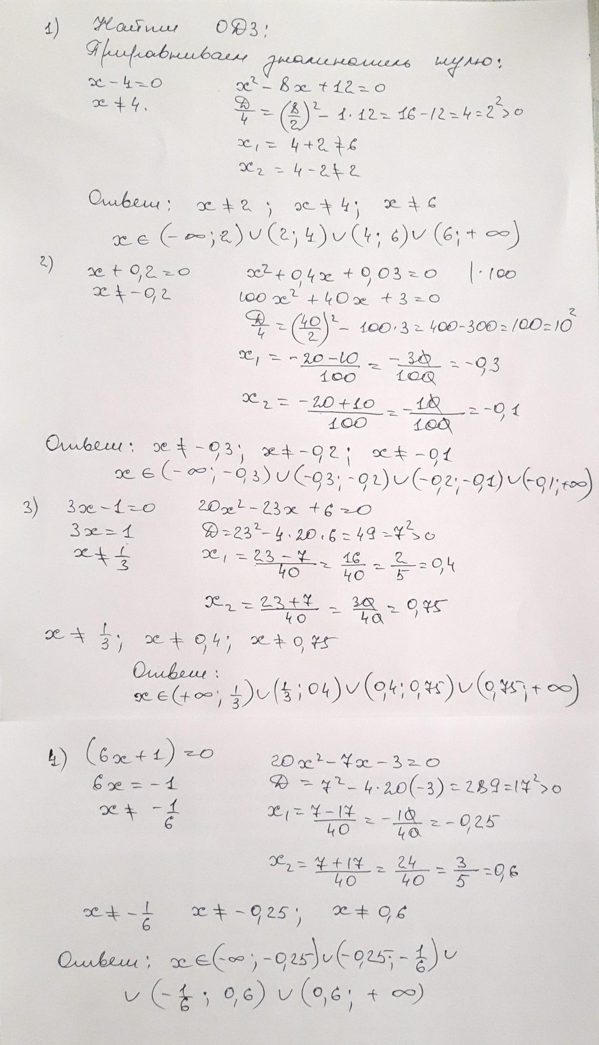
Ответ:
Найдите область определения функций.
Приложения:
Похожие вопросы
Предмет: Беларуская мова,
автор: 7090851
Предмет: Другие предметы,
автор: daniilgrib
Предмет: Русский язык,
автор: Алинёнок26
Предмет: Математика,
автор: аадалуалп