Предмет: Физика, автор: sahnova2006

Будьласка поможіть рішити задачу.
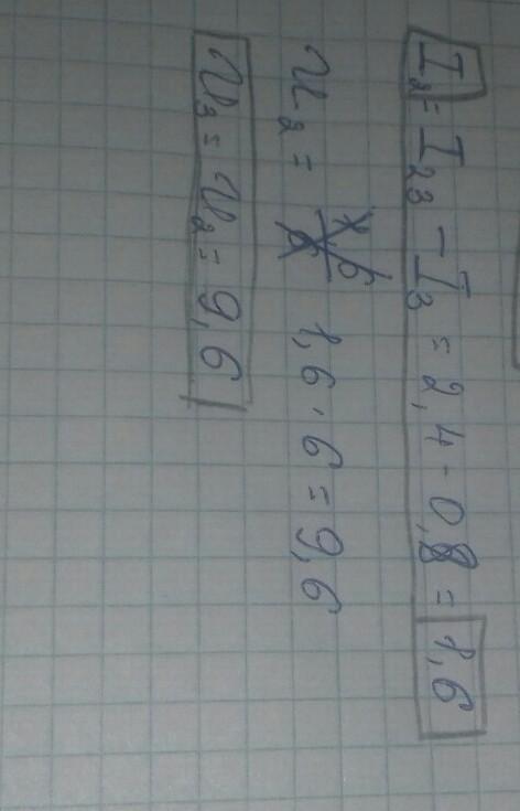
Відомо: U=12B; R1=1 Ом; R2=6 Ом; R3=12 Ом. Знайти: R,U1, I1, U2, I2, U3, I3 - ?

Приложения:

Ответы

Автор ответа: atamuradovaparvina
1

Ответ:

R23 это не 23 а общий потребитель двух потребителей под номером 2 и 3

Приложения:
Похожие вопросы
Предмет: Английский язык, автор: евгеshа1998
Пожалуйста, помогите перевести на английский язык!
Сегодня я хочу рассказать вам о выпускнице нашей школы. Её зовут Светлана Дешевых. Светлана родилась 30 ноября 1970 года. Её мать звали Татьяна Гавриловна, а отца Владимир Михайлович. У Светланы были брат и сестра. Детство Светланы прошло в Лесогорске. Она пошла в первый класс в 1978 году. В начальных классах ее первым учителем была Голобова Валентина Александровна. В старших классах ее классным руководителем была Матвеева Любовь Трофимовна. Любовь Трофимовна была учителем английского языка.
Светлана училась хорошо, но больше ей нравились гуманитарные предметы-история, литература. Она была упорной и всегда добивалась своей цели. В 10 лет она начала заниматься спортом. Благодаря характеру и спортивной злости она побеждала на соревнованиях. Неоднократно становилась чемпионкой школы по легкой атлетике и лыжным гонкам.
Детство Светланы было трудным. Ее родители скончались очень рано. Светлана окончила школу в 1988 году. Она поступила в Омский университет физкультуры на отделение лыжных гонок. Впервые выполнила норматив мастера спорта СССР в университете. Спорт стал ее работой. В 1994 году Светлана переехала в Казахстан. Неоднократно становилась чемпионкой Казахстана по лыжным гонкам. В 1997 году она участвовала в Чемпионате мира в Норвегии. В 1997 году Светлана Владимировна участвовала в олимпийских играх в Японии. Таким образом сбылась ее детская мечта. В 1999 году она родила дочь. В 2002 году Светлана приняла участие в олимпийских играх в Солт Лейк Сити. В 2002 году она посетила родной поселок Лесогорск и дала интервью. Светлана Дешевых достигла больших успехов в спорте. Школа может гордиться ей.