Предмет: Математика, автор: rdzhantemirov

Решите уравнение, срочно пожалуйста

Приложения:

Ответы

Автор ответа: nafanya2014
0

Умножаем обе части уравнения на (x-4)≠0:

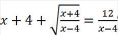
(x+4)(x-4)+\sqrt{(x+4)\cdot (x-4)}=12

Замена переменной:

\sqrt{(x+4)\cdot (x-4)}=t

t \geq 0

t^2+t-12=0

D=49

t_{1}=3;   t_{2}=-4 ( не удовл условию t ≥0)

Обратный переход:

\sqrt{(x+4)\cdot (x-4)}=3

x^2-16=9

x^2=25

x=\pm5

При x=5

5+4+\sqrt{\frac{5+4}{5-4} }=\frac{12}{5-4}  - верно, так как 9+3=12

При x=-5  

-5+4+\sqrt{\frac{-5+4}{-5-4} }=\frac{12}{-5-4}    -  неверно, так как -1+\frac{1}{3}=-\frac{4}{3} - неверно

О т в е т. 5

Замена переменной:

\sqrt{\frac{x+4}{x-4} }=t

\frac{x+4}{x-4}=t^2   ⇒   x=\frac{4t^2+4}{t^2-1}

Уравнение принимает вид:

\frac{4t^2+4}{t^2-1}+4+t=\frac{12}{\frac{4t^2+4}{t^2-1}-4}

\frac{4t^2+4+4t^2-4+t^3-t}{t^2-1}=\frac{12}{\frac{4t^2+4-4t^2+4}{t^2-1}}

\frac{t^3+8t^2-t}{t^2-1}=\frac{12(t^2-1)}{8}

Пропорция, умножаем крайние и средние члены пропорции:

2t^3+16t^2-2t=3(t^4-2t^2+1)

3t^4-2t^3-22t^2+2t+3=0

Похожие вопросы
Предмет: Русский язык, автор: lilunia2
Предмет: Русский язык, автор: asansultan