Предмет: Математика, автор: sland47

Помогите пожалуйста решить 1.004 и 1.005!!

Приложения:

ShtainDaniel: В первом варианте решения вкралась ошибка. Поэтому я его удалил. Почему-то не удается отредактировать решение. Но в номере 1.004 правильнвй ответ 0.5.

Ответы

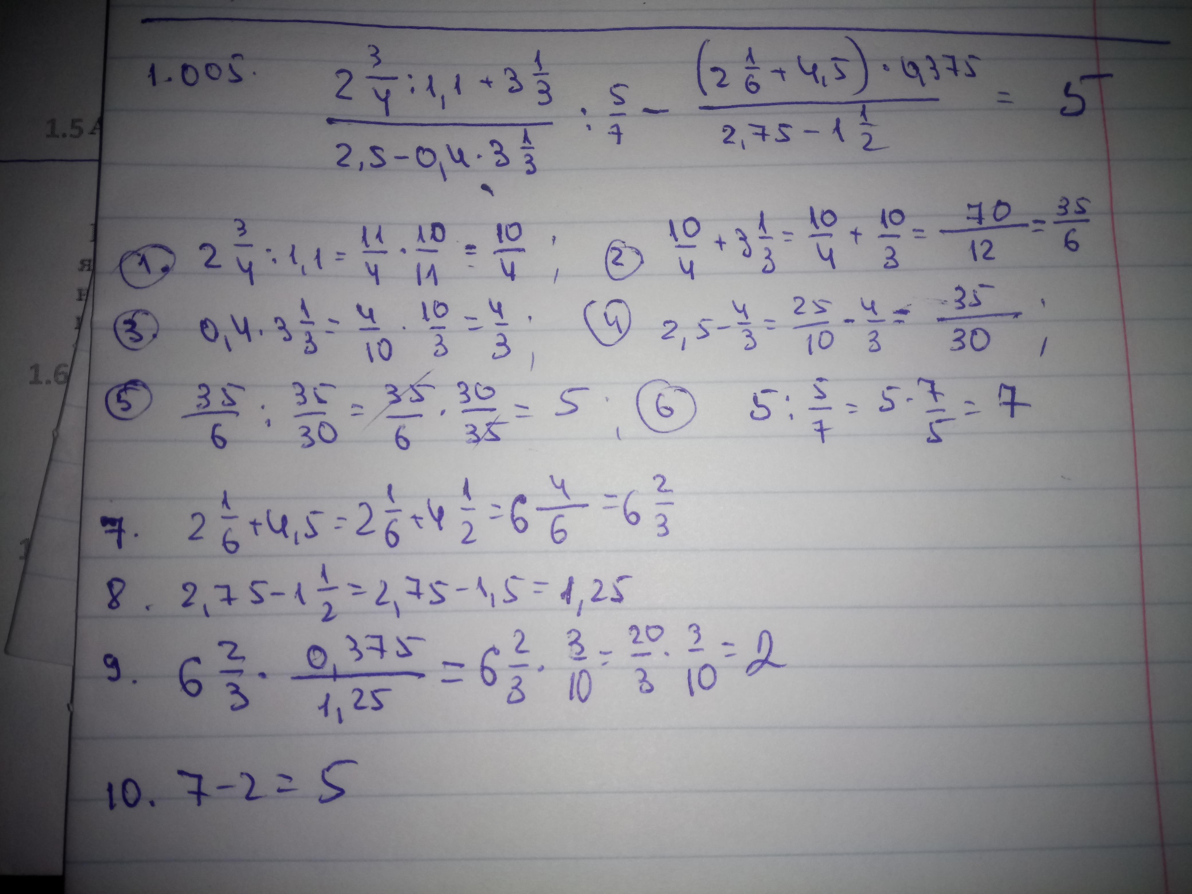
Автор ответа: Zombynella
2

Ответ:

№1.004  0,5

№1.005   5.

Пошаговое объяснение:

№1.004

По действиям:

1)2,7-0,8=1,9;

2)1,9 * 2 и 1/3=

=1 и 9/10 * 2 и 1/3=

перевести в неправильную дробь:

=19/10 * 7/3=

=(19*7)/(10*3)=

=133/30; - числитель первой дроби

3)5,2-1,4=3,8;

4)3,8 : 3/70=

=3 и 4/5 : 3/70=

=19/5 : 3/70=

=(19*70)/(5*3)=

=266/3; - знаменатель первой дроби

5)133/30 : 266/3=

=(133*3)/(30*266)=

=1/20; - результат действий в скобках

6)0,125=1/8

1/20+1/8=7/40;

7)7/40 : 2 и 1/2=

=7/40 : 5/2=

=(7*2)/(40*5)=

=7/100=0,07;

8)0,07+0,43=0,5.

№1.005

По действиям:

1)2 и 3/4 : 1,1=

=2 и 3/4 : 1 и 1/10=

перевести в неправильную дробь:

=11/4 : 11/10=

=(11*10)/(4*11)=

=10/4=5/2;

2)5/2 + 3 и 1/3=

=5/2 + 10/3=

=(15+20)/6=

=35/6; числитель первой дроби.

3)0,4 * 3 и 1/3=

=2/5 * 10/3=

=(2*10)/(5*3)=

=4/3;

4)2,5-4/3=

=2 и 1/2 - 4/3=

=5/2 - 4/3=

=(15-8)/6=

=7/6; знаменатель первой дроби.

5)35/6 : 7/6=

=(35*6)/(6*7)=

=5;

6)5 : 5/7=

=(5*7)/5=

=7; итог перед вычитанием

7)2 и 1/6 + 4,5=

=2 и 1/6 + 4 и 1/2=

=6 и 2/3=20/3;

8)0,375=3/8

20/3 * 3/8=

=(20*3)/(3*8)=

=10/4=5/2; числитель второй дроби

9)2,75 - 1 и 1/2=

=2,75 - 1,5=

=1,25; знаменатель второй дроби

10)5/2 : 1,25=

=5/2 : 1 и 1/4=

=5/2 : 5/4=

=(5*4)/(2*5)=

=2; итог перед вычитанием

11)7-2=5.

Автор ответа: Аноним
4

Решение задания прилагаю.

Приложения:
Похожие вопросы