Предмет: Математика,
автор: asus9096
Помогите решить пример по математике
Приложения:
Ответы
Автор ответа:
1
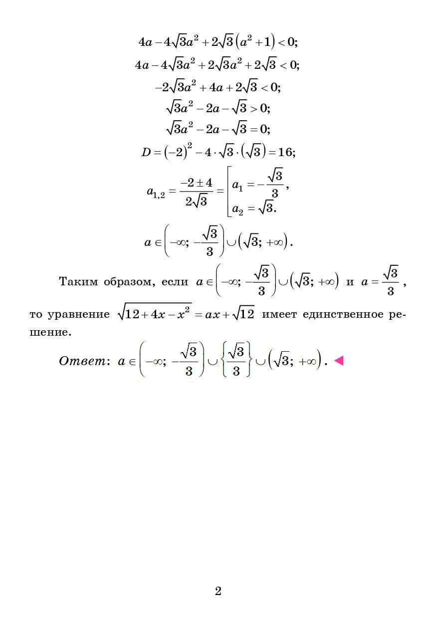
Найти значения параметра , при которых уравнение
имеет единственный корень.
Приложения:
Alexandr130398:
исправьте ошибки в ответе: -√3/3 в круглой скобке и не хватает в ответе точки +√3/3
Отметьте как нарушение
а в дискриминанте не должно ли получится 20 там все таки -кор 3?
все в6ерно простите
Похожие вопросы
Предмет: Русский язык,
автор: propis28841
Предмет: Английский язык,
автор: vasilewskyslaw
Предмет: Другие предметы,
автор: nastyaperelovs
Предмет: Биология,
автор: 000Владик000