Предмет: Алгебра,
автор: daryats07
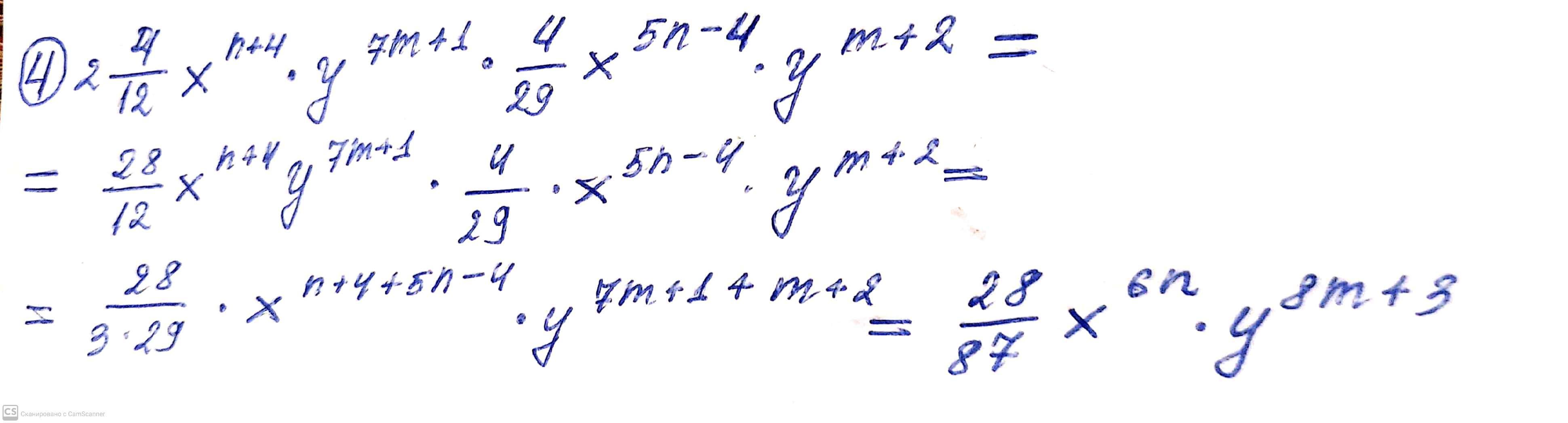
Выполните пожалуйста номер 4 и 6!!!!!!!! УМОЛЯЮ! ДАМ 30 баллов!
Приложения:
Ответы
Автор ответа:
1
Ответ есть во вложении.
Удачи Вам и успехов)!
Приложения:
daryats07:
Спасибо большое! Очень выручили!!!
Обращайтесь)!
Похожие вопросы
Предмет: Русский язык,
автор: Аноним
Предмет: Русский язык,
автор: garyanina2012
Предмет: Русский язык,
автор: natalilepyakina
Предмет: Математика,
автор: Sanapo
Предмет: Химия,
автор: Шkolnitsa