Предмет: Математика, автор: alexpak0910

Если при всех значениях x имеет место равенство f(5+2x)=-x+1, то чему равно f(x-3)

Ответы

Автор ответа: antonovm
1

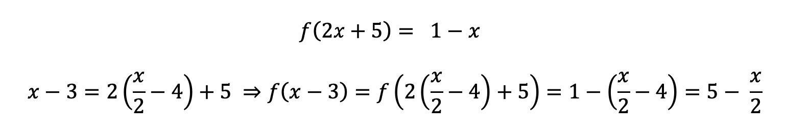
Ответ:

5 - x/2

Пошаговое объяснение:

Приложения:
Автор ответа: nafanya2014
1

Замена переменной:

5+2x=t   ⇒    2x=t-5

x=\frac{t-5}{2}

По условию      f(5+2x)=-x+1

Значит,  

f(t)=-\frac{t-5}{2}+1

f(t)=\frac{2-t+5}{2}

f(t)=\frac{7-t}{2}

Поэтому

f(x-3)=\frac{7-(x-3)}{2}

f(x-3)=\frac{7-x+3}{2}

f(x-3)=\frac{10-x}{2}

Похожие вопросы
Предмет: Русский язык, автор: petimatkanaeva
Предмет: Математика, автор: dima617