Предмет: Математика,
автор: catumida2011
Помогите пожалуйста, срочно!!! Можно без решения, только вариант ответа
Приложения:
Ответы
Автор ответа:
1
Ответ:
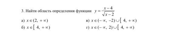
3) а; х>2
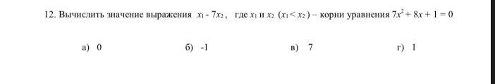
4)а; ответ 0
Пошаговое объяснение:
3) знаменатель у нас (х-2)под корнем, а под корнем не может находиться отрицательные числа значит х>2;
4) решая квадратную уравнению мы получим, х1=-1; х2=-1/7; именно в этом порядке потому что у нас сказано
х1<х2;
Теперь осталось поставить все на места, -1-7(-1/7)= -1+1=0
catumida2011:
Спасибо огромное
"знаменатель у нас (х-2)под корнем, а под корнем не может находиться отрицательные числа значит х>2" Чуть уточним: значение под арифметическим квадратным корнем не может быть меньше 0. Т.е.x-2>=0 (нулю-то значение под корнем может равняться), но знаменатель не может равняться 0. Т.е. x-2 неравно 0. Поэтому получается строгое неравенство, как у Вас: x-2>0.
Похожие вопросы
Предмет: Другие предметы,
автор: panty2
Предмет: Русский язык,
автор: gerasimenkoea
Предмет: Українська мова,
автор: DAshA12g
Предмет: История,
автор: Shpakoff03852
Предмет: Математика,
автор: EvgenkKa