Предмет: Алгебра,
автор: vvvjjj84
Помогите пожалуйста выполнить задание даю 35 баллов
Приложения:
Ответы
Автор ответа:
0
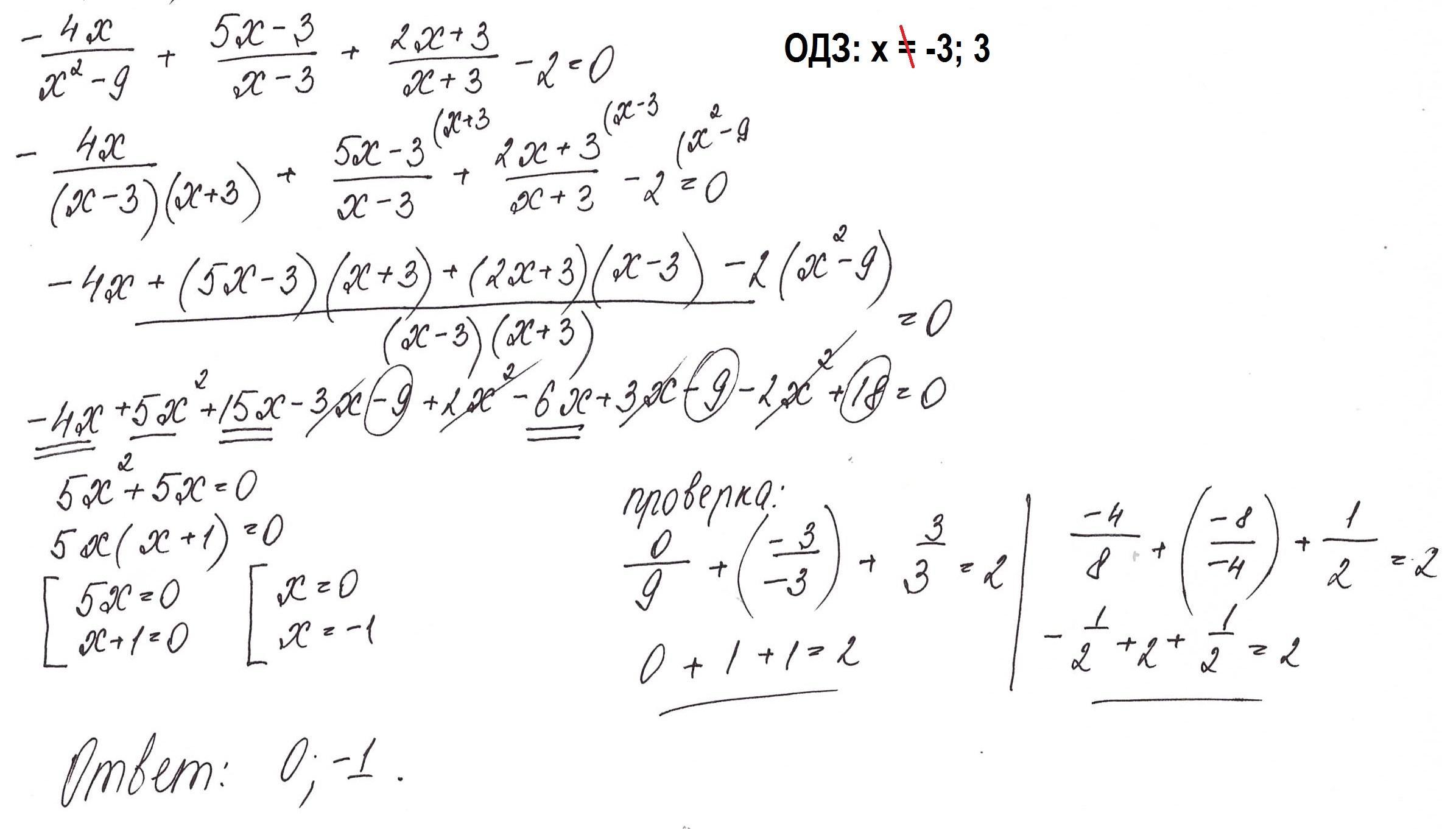
Ответ:
0; -1
Объяснение:
Решение во вложении:
Приложения:
Похожие вопросы
Предмет: Русский язык,
автор: danchik0089
Предмет: Русский язык,
автор: aserdechkina
Предмет: Русский язык,
автор: tbegmatov
Предмет: Математика,
автор: RusalnPro