Предмет: Алгебра,
автор: Petruhenki999
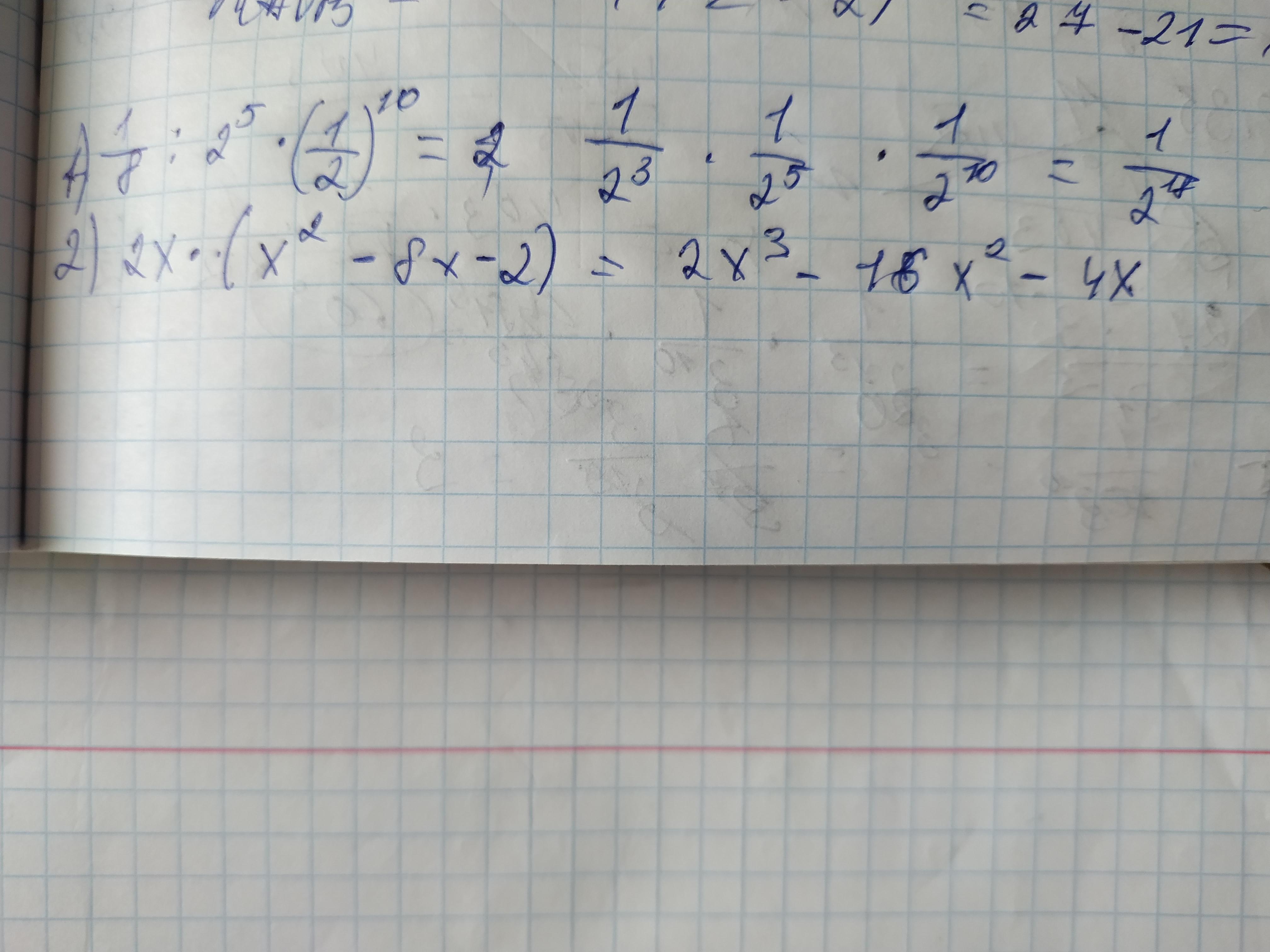
Помогите решить, с ответом и решением! 1).(1/8) / 2^5*(1/2)^10= 2).2x*(x^2-8x-2)=
Petruhenki999:
Если что, ^2 - это корень
Ответы
Автор ответа:
1
Ответ:
1) 1/2^18 2) 2*x^3-16*x^2-4*x
Объяснение:
Приложения:
Огромное спасибо)
Похожие вопросы
Предмет: Русский язык,
автор: мирон5
Предмет: Русский язык,
автор: nadja1973
Предмет: Русский язык,
автор: азизулло
Предмет: География,
автор: Uchitelnumber1
Предмет: География,
автор: gordetskaya2003