Предмет: Алгебра, автор: Lizzie2018

Решите только г) и д), пожалуйста (подробно).

Приложения:

Ответы

Автор ответа: Olga8128
3

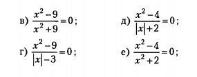
Задание г)

\displaystyle \frac{x^2-9}{ |x| - 3} = 0

Дробь равна нолю, если ее числитель равен нолю, а знаменатель не равен:

\displaystyle \begin{equation*} \begin{cases}x^2-9=0\\ |x|-3 \ne 0 \end{cases}\end{equation*}

В первом уравнении -9 переносим вправо с изменением знака (или вспоминаем формулу разности квадратов: a^2-b^2 = (a-b)(a+b)), а во втором просто переносим -3 вправо:

\displaystyle \begin{equation*} \begin{cases} x^2=9\\ |x| \ne 3 \end{cases}\end{equation*}

В первом уравнении x = \pm \sqrt{9}. А решением неравенства |x| \ne 3 является x \ne \pm 3. Иначе говоря:

\displaystyle \begin{equation*} \begin{cases}  x = \pm 3 \\ x \ne \pm 3 \end{cases}\end{equation*}

\displaystyle \begin{equation*} \begin{cases}  \left[\begin{array}{ccc}x=3 \\x=-3\end{array}\right \\ \left[\begin{array}{ccc} x \ne 3\\ x \ne -3 \end{array} \right  \end{cases}\end{equation*}

Таким образом, все корни, обнуляющие числитель обнуляют и знаменатель (а "делить на ноль нельзя"). Система уравнений получается слишком противоречивой (причем - не кому-то, а самой себе).

Значит, действительных решений у данного уравнения нет.

Это, конечно, можно было и не расписывать так подробно, а просто заметить, что ноль в числителе дают x=3 и x=-3. Но они же и дают ноль в знаменателе!

Ответ: x \notin \mathbb R или \varnothing

Задание д)

\displaystyle \frac{x^2 - 4}{ |x|+2} = 0

Здесь опять: числитель равен нолю, а знаменатель не равен.

Заметим, что |x| \geq 0 и 2>0. Значит, |x|+2 > 0 и знаменатель ни при каком значении x не равен нолю!

⇒ Достаточно, чтобы только числитель был равен нолю.

x^2 - 4 = 0\\\\x^2=4\\\\ x = \pm 4 \\ \\ \left[\begin{array}{ccc}x=2\\x=-2\end{array}\right

В общем, это и есть решение уравнения.

Ответ: x_1=2, x_2= -2.

_______________________________________________

Задание в)

На всякий случай в) и е). В целом, они решаются абсолютно также, по аналогии, так что мои "объяснения" только испортят красоту решения уравнений.

    \displaystyle \frac{x^2 - 9}{x^2 + 9} = 0

x^2 \geq 0, \;\;\; 9 > 0, \;\;\; \Rightarrow \;\;\; x^2 + 9 > 0

    x^2 - 9 = 0\\x^2 = 9\\x_1 =- 3 , \;\;\; x_2 = 3

Ответ:   x_1=-3,   x_2 = 3

Задание е)

    \displaystyle \frac{x^2 - 4}{x^2 + 2} = 0

x^2 \geq 0, \;\;\; 2 > 0, \;\;\; \Rightarrow \;\;\; x^2 + 2 > 0

    x^2 - 4 = 0\\x^2 = 4\\x_1 =- 2 , \;\;\; x_2 = 2

Ответ:   x_1=-2,   x_2 = 2


Lizzie2018: Спасибо большое <3
Olga8128: Не за что :)
Автор ответа: Аноним
1

В г) ОДЗ х≠±3; Если х>0, то получим (х-3)(х+3)/(х-3)=0; х+3=0, откуда х=-3;∅, если же х<0, то (х-3)(х+3)/(-х-3)=0;3-х=0;х=3;∅

Ответ ∅

е) (х-2)(х+2)=0, умножили обе части на положительное число х²+2, получим х-2=0; х=2; х+2=0; х=-2

Ответ ±2

д) разложим на множители, и используем факт равенства дроби нулю, если числитель равен нулю. а знаменатель от нуля отличен.

(х-2)(х+2)=0, когда х=2, проверим знаменатель, модуль двух равен два плюс 2 сумма равна 4≠0, поэтому х=2-корень уравнения. х+2=0; х=-2, т.к. знаменатель не обращается в нуль при подстановки х=-2

Ответ х=±2

в) аналогично е) (х-3)(х+3)=0, откуда х=±3, знаменатель число положительное.

Ответ ±3


Lizzie2018: Спасибо
Похожие вопросы