Предмет: Алгебра, автор: manuvaad

Подскажите, пожалуйста, ход решения с несколькими выражениями с корнями.

Приложения:

Ответы

Автор ответа: iosiffinikov
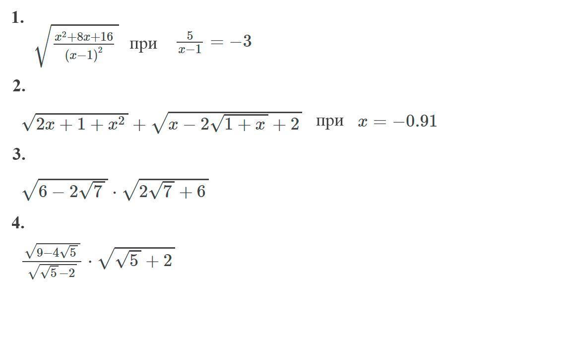
1

sqrt - корень квадратный.

В знаменателе :

1) Под корнем выражение  (x+4)^2/(x-1)^2

Значит корень равен |(x+4)/(x-1)|=|1+5/(x-1)|=|-2|=2

2) выражение под первым корнем полный квадрат, значит первый корень |x+1|=0,09  Выражение под вторым корнем нетрудно посчитать

-0,91-0,6+2=0,49. Корень из него 0,7 Складывая , получим 0,79

3) Внося произведение под корень получим разность квадратов

36-28=8 извлекая корень получаем 2*sqrt(2)  (два корня из двух)

Расписываю : sqrt(6-2*sqrt(7))*sqrt(6+2*sqrt(7))=sqrt((6-2*sqrt(7))*(6+2*sqrt(7)))=

sqrt(36-4*7)=sqrt(8)=sqrt(4*2)=2*sqrt(2)

4) Домножим числитель и знаменатель на sqrt(sqrt(5)-2)

sqrt(5)-2  в числителе sqrt(9-4sqrt(5))*sqrt(5-4)= sqrt(9-4sqrt(5))

Под корнем разность квадратов (3-2*sqrt(5)*(3+2*sqrt(5))

Домножим и числитель и знаменатель на sqrt(5)+2

Знаменатель станет 1. Числитель sqrt(9-4*sqrt(5))*(2+sqrt(5)))=

18-8*sqrt(5)+9*sqrt(5)-20=sqrt(sqrt(5)-2)


manuvaad: Спасибо за Ваш ответ. Со всем разобрался кроме третьего пункта. Как именно получается разность квадратов в третьем выражении?
iosiffinikov: В текст вставил цепочку преобразований.
manuvaad: Спасибо!
Похожие вопросы
Предмет: Математика, автор: vlad1269
Предмет: Алгебра, автор: Нeyдaчник