Предмет: Алгебра,
автор: ertger
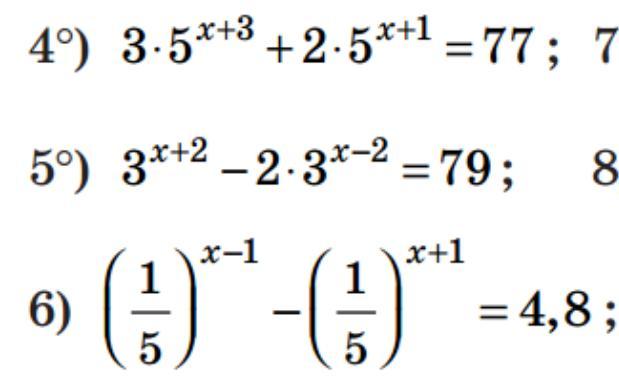
Алгебра. Решение показательных уравнений и неравенств
Приложения:
Ответы
Автор ответа:
1
Ответ:
=====================================
Объяснение:
Приложения:
Похожие вопросы
Предмет: Русский язык,
автор: uzlipat1
Предмет: Русский язык,
автор: Stepashca
Предмет: Русский язык,
автор: klycheva02
Предмет: Математика,
автор: Zaiy2713