Предмет: Математика,
автор: hfhdby
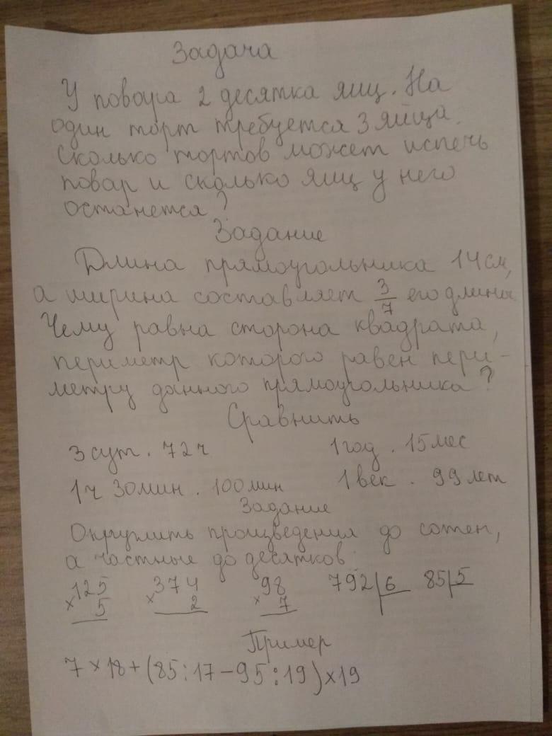
Помогитеее пожалуста задание 2
Приложения:
Ответы
Автор ответа:
0
Ответ: 10 см
Решение: 1. Найдём ширину прямоугольника. 14:7=2. 2•3=6 см
2. P прямоугольника = 14+14+6+6= 40 см
3. Сторона квадрата = 40:4=10 см
Похожие вопросы
Предмет: Английский язык,
автор: 9katerina9
Предмет: Русский язык,
автор: 12рвшдащдош
Предмет: Русский язык,
автор: Алинка1703
Предмет: Математика,
автор: ирина1546
Предмет: Химия,
автор: qwerty846