Предмет: Алгебра,
автор: dimawip9
алгебра 8 класс помогите пожалуйста
Приложения:
Ответы
Автор ответа:
0
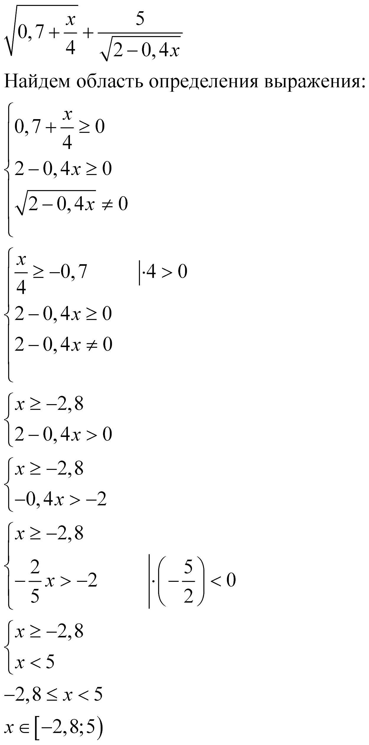
Ответ:
б)
Объяснение:
см. изображение
Приложения:
Автор ответа:
0
Ответ:в) , т.к. 0.7+х/4≥0 при х≥-2.8; 2-0.4х>0 при x<5, или окончательно х∈[-2.8;5)
На нуль делить нельзя. и подкоренное выражение в первом корне неотрицательно. в втором строго положительно.
Похожие вопросы
Предмет: Қазақ тiлi,
автор: salta78akt
Предмет: Русский язык,
автор: yncen2407
Предмет: Русский язык,
автор: DiasBota
Предмет: География,
автор: michael16
Предмет: Алгебра,
автор: nknvnl