Предмет: Математика,
автор: hfjtg
Ответ помогитеее пожалуста
Приложения:
Ответы
Автор ответа:
0
Ответ:
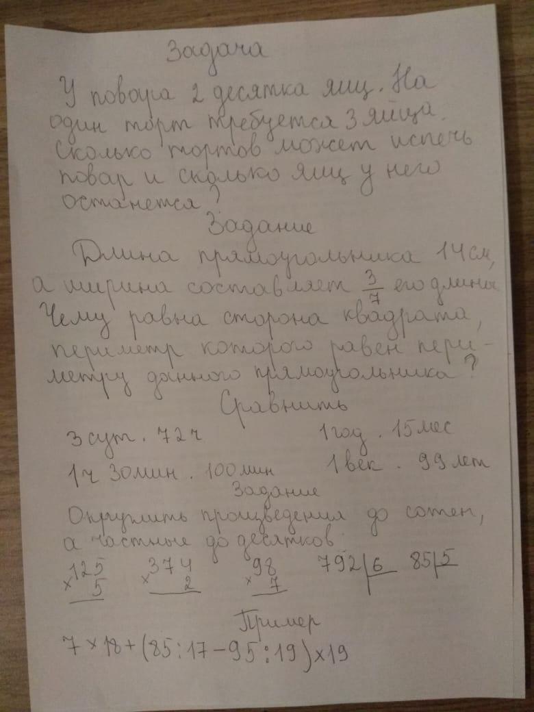
задача.
всего было 20 яиц. на один торт 3 яйца. получается, что повар может испечь 6 тортов, так как 6×3=18. если мы умножим 3×7, то получится 21 яйцо, а у повара всего их 20, то есть ему не хватает.
если вкратце решение, то:
3×6=18(тортов)-может испечь повар
20-18=2 (яйца)-останется у повара
сравнить.
3 сут=72 часа
1 ч 30 мин < 100 мин
1 год<15 месяцев
1 век<99 лет
в остальном я не сильна
Автор ответа:
0
Последние 2 задания:
125 * 5 = 625 ~ 600
374 * 2 = 748 ~ 700
98 * 7 = 686 ~ 700
792 : 6 = 132 ~ 130
85 : 5 = 17 ~ 20
Пример :
1) 85 : 17 = 5
2) 95 : 19 = 5
3) 5 - 5 = 0
4) 0 * 19 = 0
5) 7 * 18 = 126
6) 126 + 0 = 126
125 * 5 = 625 ~ 600
374 * 2 = 748 ~ 700
98 * 7 = 686 ~ 700
792 : 6 = 132 ~ 130
85 : 5 = 17 ~ 20
Пример :
1) 85 : 17 = 5
2) 95 : 19 = 5
3) 5 - 5 = 0
4) 0 * 19 = 0
5) 7 * 18 = 126
6) 126 + 0 = 126
Похожие вопросы
Предмет: Українська мова,
автор: semanyk
Предмет: Русский язык,
автор: skf21ea
Предмет: Русский язык,
автор: noijin
Предмет: Геометрия,
автор: u6chi