Предмет: Математика, автор: EricLord

(。•́︿•̀。) Решите уравнения, пожалуйста.

Приложения:

EricLord: (╥_╥)

Ответы

Автор ответа: mridanil2001
1

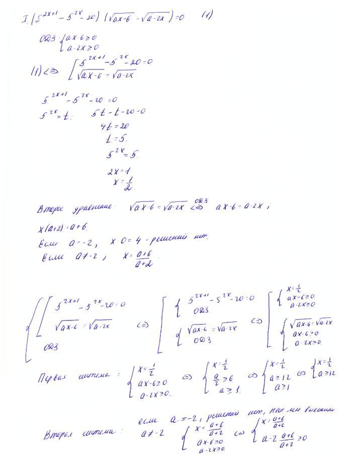
Ответ:

См. файлы

Пошаговое объяснение:

На втором фото внизу в углу плохо видно. При a>=12 2 решения, а именно 0.5 и дробь (a+6)/(a+2) (причем корни различны, дробь не равна 0.5).

Приложения:
Автор ответа: nafanya2014
1

1.

5^{2x+1}-25^{x}-20=0

5^{2x}\cdot 5^{1}-25^{x}-20=0

4\cdot 25^{x}=20

25^{x}=5

5^{2x}=5

2x=1

x=0,5

2.

\sqrt{ax-6}-\sqrt{a-2x}=0

\sqrt{ax-6}=\sqrt{a-2x}

Возводим в квадрат:

ax-6=a-2x

ax+2x=a+6

x(a+2)=a+6  - линейное уравнение:

если   a+2 = 0, т. е а = - 2

уравнение принимает вид:

0х=4

Такое уравнение не имеет корней

если   a+2 ≠ 0, т. е а ≠ - 2

x=\frac{a+6}{a+2}

О т в е т.

x=0,5    или    x=\frac{a+6}{a+2}   при  a≠-2

Похожие вопросы
Предмет: Українська мова, автор: cotyasho