Предмет: Математика, автор: gnomiha211

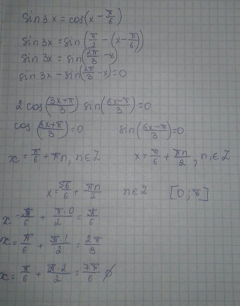
т81) Найдите все решения уравнения на отрезке [0; pi ]
sin3x= cos(x- pi/6)

Спасибо!

Ответы

Автор ответа: atamuradovaparvina
3

Пошаговое объяснение:

два решения) ☆☆☆☆☆☆☆☆☆☆☆

Приложения:

gnomiha211: Спасибо большое!!
atamuradovaparvina: не за что♡
atamuradovaparvina: спасибо за лучший ответ ♡
Похожие вопросы
Предмет: Русский язык, автор: ДДДДДаша
Предмет: Русский язык, автор: igorn2601
Предмет: Русский язык, автор: badikyasaev
Предмет: Литература, автор: tre1yana