Предмет: Математика, автор: aibraeva20102008

помогите пожалуйста ​

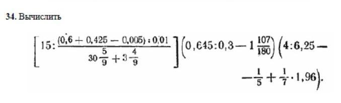
Приложения:

Ответы

Автор ответа: ISpaceI
1

Ответ:

2

Пошаговое объяснение:

Приложения:

aibraeva20102008: большое спасибо
Автор ответа: Quagmirew
1

Ответ: на фото

Пошаговое объяснение:

Приложения:

aibraeva20102008: спасибо
Похожие вопросы
Предмет: Английский язык, автор: forerartem
Предмет: Английский язык, автор: Дэнчик1234567
Помогите!!! The are 9 mistakes in the following sentences.  Underline the mistakes and correct them.  Образец:My name Paul.  My name is Paul.                                                                            1.Last year I go tj a summer camp. .................                                                                                2.What,s your mother name? ...............                                                                                            3.We like going to picnic. ............                                                                                                    4.In my spare time i listen musik.  ..............                                                                                      5.After school o often play in football.  ................                                                                            6.Next summer i take a trip to Brignton. .........................                                                                7.I don,t like this film too.  .............                                                                                                  8.Where you were in the evening? .....................                                                                         9.In last summer i hsd a lot of fun.  ...................
Предмет: История, автор: yuliasidletsck