Предмет: Математика, автор: aleksoref

Здравствуйте, помогите пожалуйста​

Приложения:

Ответы

Автор ответа: NNNLLL54
2

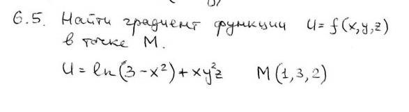
u=ln(3-x^2)+xy^2z\ \ ,\ \ \ M(1,3,2)\\\\\overline {grad\, u(M)}=\Big(\ \dfrac{\partial u}{\partial x}\Big|_{M}\, ;\, \dfrac{\partial u}{\partial y}\Big|_{M}\, ;\, \dfrac{\partial u}{\partial z}\Big|_{M}\ \Big)\\\\\\u'_{x}=\dfrac{-2x}{3-x^2}+y^2z\ \ ,\ \ u'_x}(M)=-\dfrac{2}{3-1}+9\cdot 2=17\\\\u'_{y}=2xyz\qquad ,\qquad \quad u'_{y}(M)=2\cdot 1\cdot 3\cdot 2=12\\\\u'_{z}=xy^2\qquad ,\qquad \qquad u'_{z}(M)=1\cdot 9=9

\overline {grad\, u(M)}=(17\, ;\, 12\, ;\, 9)\ \ \ \ ili\ \ \ \ \overline {grad\, u(M)}=17\vec{i}+12\vec{j}+9\vec{k}

Похожие вопросы
Предмет: Математика, автор: alena73