Предмет: Алгебра,
автор: kokapirogov
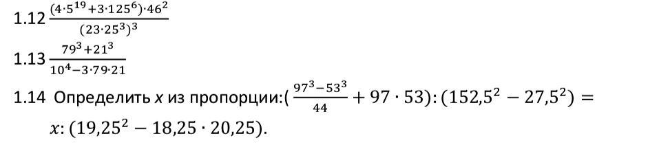
Помогите решить задачи 1.13, 1.14. Нужно с рациональным решением.
Приложения:
lidiasaraa3:
1.12 и 1.14 решила.выкладывать ?
1.12 уже решен.тогда,-1.14.
получилось:)
Ответы
Автор ответа:
1
.............................
Приложения:
Автор ответа:
0
1.13. (79³+21³)/((100)²-63*79)=(79+21)(79²+21²-21*79)/((100)²-63*79)=
100*(6241+441-1659)/(10000-4977)=100*5023/5023=100
Рационально можем представить знаменатель как (100)²-63*79)=
=(79+21)²-3*79*21=79²+21²+2*79*21-3*79*21=79²+21²-79*21, получим выражение, стоящее в числителе, значит,
(79³+21³)/((100)²-63*79)=(79+21)(79²+21²-21*79)/(9²+21²-21*79)=100
1.14 1) (97³-53³)/44+97*53=((97-53)/44)*(97²+97*53+53²+97*53)=
(44/44)*(97+53)²=150²; 2) (152.5²-27.5²)=(152.5-27.5)*(152.5+27.5)=125*180; 3) 150²/(125*180)=150*150/(125*180)=6/6=1
4) х=1*(19.25²-18.25*20.25)=(1+18.25)²-18.25*(18.25+2)=
1+2*18.25+18.25²-18.25²-2.18.25=1
Похожие вопросы
Предмет: Українська мова,
автор: витя1234554321
Предмет: Русский язык,
автор: Sonya270904
Предмет: Английский язык,
автор: nugumanova04
Предмет: Литература,
автор: КошкаМяу2004
Предмет: Математика,
автор: maslovaylia394