Предмет: Алгебра, автор: v4023420

помогите пожалуйста не блокаде ​

Приложения:

Evgenia4836: если внятного задания не будет, я удалю все. задание это сократить дробь, упростить дробь, найти производную, найти область определения
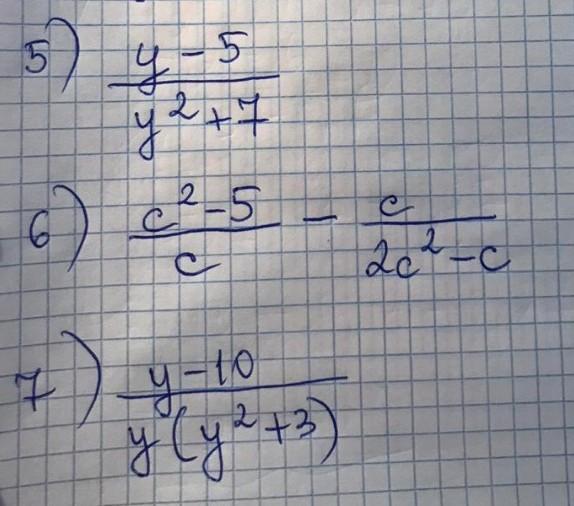
v4023420: найти допустимые знач в переменной
v4023420: вот
v4023420: понятно?
v4023420: а то у меня тут инет виснет
v4023420: ....
Evgenia4836: так почему это сразу не написать? почему люди должны догадываться?
v4023420: прости....
v4023420: не подумала
v4023420: ...(((

Ответы

Автор ответа: Evgenia4836
1

Ответ:

Объяснение:

5) y∈R

6) c≠0

c(2c-1)≠0

c≠0, c≠0,5

c∈(-∞;0)(0;0,5)(0,5;+∞)

7) y≠0

y²≠-3

y∈(-∞;0)(0;+∞)

Похожие вопросы
Предмет: Українська мова, автор: yuliyapastuh
Предмет: Математика, автор: ewz176