Предмет: Математика,
автор: mhorpynyuk
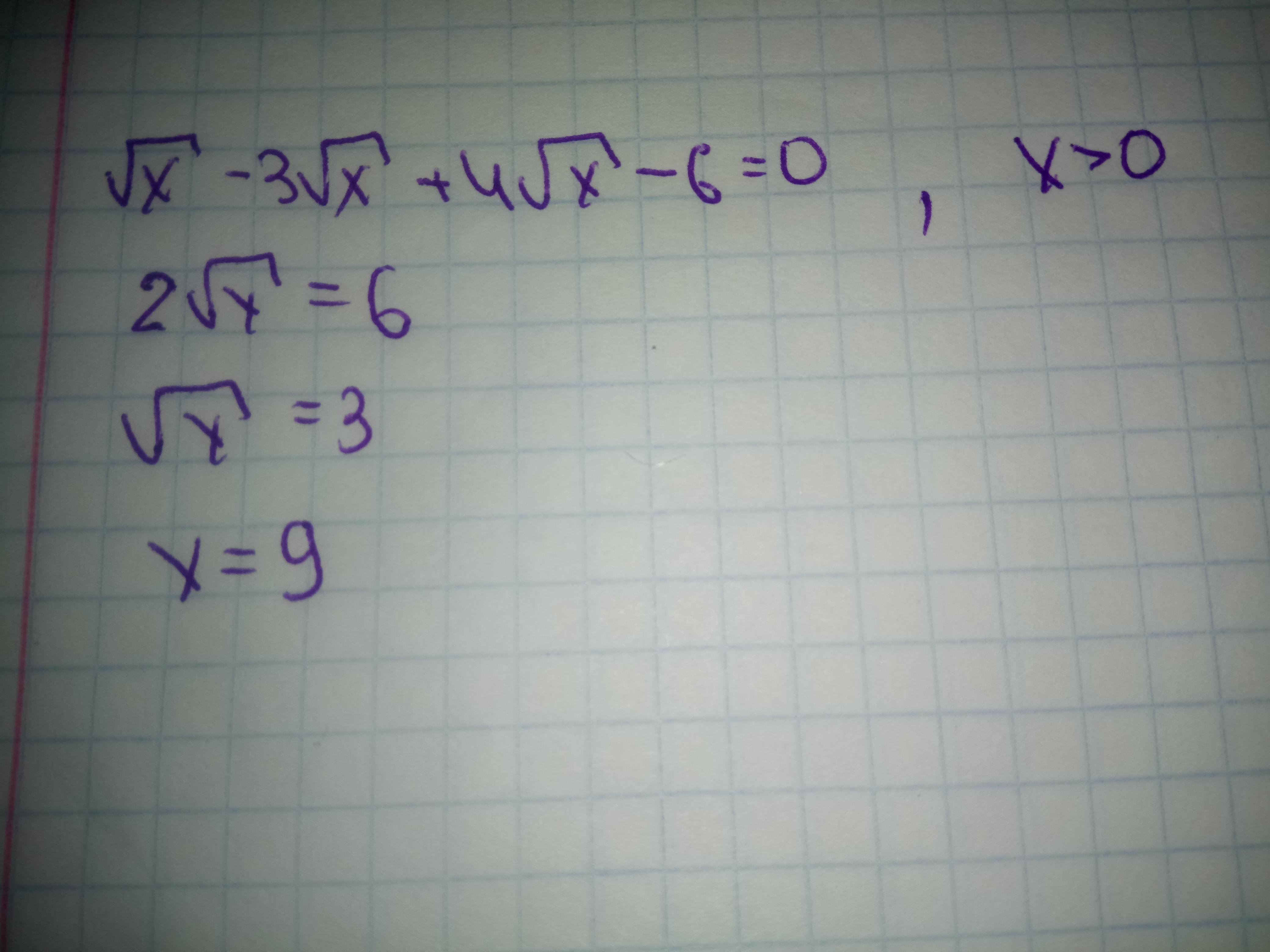
√x - 3√x + 4√x-6=0 помогите пожалуйста!
Ответы
Автор ответа:
1
Решение задания прилагаю. Ответ 9.
Приложения:
mhorpynyuk:
благодарю!
Автор ответа:
1
√x+3√+4√-6=0
Теперь
√2x =6
√x=3
И значит
x=9
Т@к вот
спасибо огромное!
Похожие вопросы
Предмет: Русский язык,
автор: lenalexsis
Предмет: Русский язык,
автор: Innysenka
Предмет: Русский язык,
автор: 35ggnkvm
Предмет: История,
автор: TheБeС