Предмет: Математика,
автор: alimamoon994d
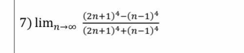
Вы можете решить этот вопрос, пожалуйста?
Приложения:
Ответы
Автор ответа:
1
Используем формулы суммы и разности четвёртой степени ...
Смотри............
Приложения:
Похожие вопросы
Предмет: Русский язык,
автор: Misha93410
Предмет: Английский язык,
автор: PLETNEVA1982
Предмет: Английский язык,
автор: 1032110321
Предмет: Математика,
автор: ангелина824
Предмет: Литература,
автор: mazurinadarya