Предмет: Алгебра,
автор: s9039106507
Помогите пожалуйста решить систему
Приложения:
Ответы
Автор ответа:
3
https://znanija.com/task/37796895
решить систему уравнений :
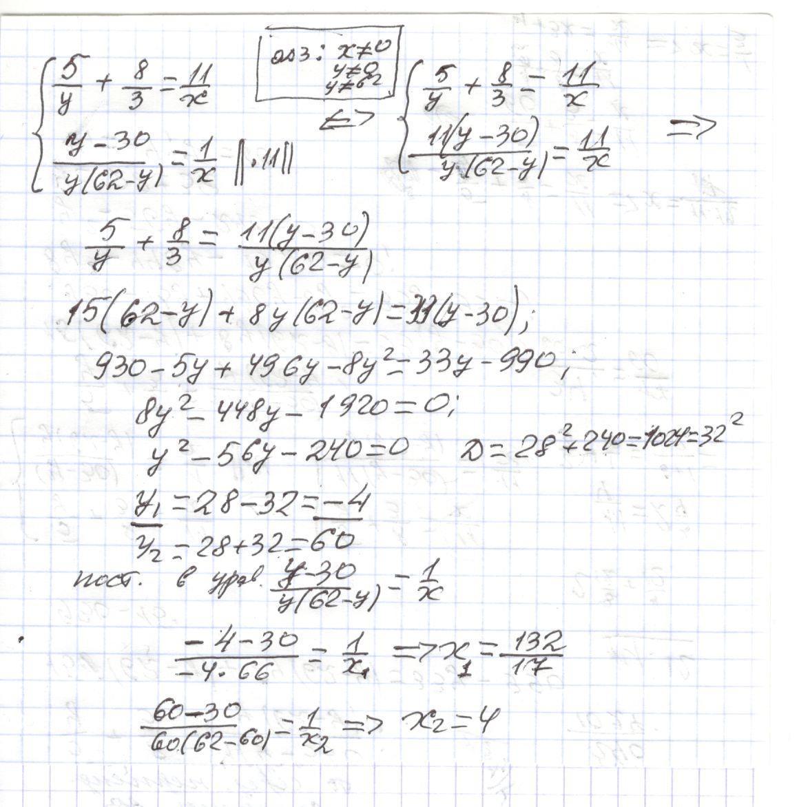
{ 5/y +8/3 =11/x
(y -30)/ y(62 -y) =1/x .
Ответ: (4 ; 60) , (132/17 ; - 4) .
Объяснение:
{ 5/y+8/3=11/x ; 11(y -30)/y(62-y) =11/x. (система в одной строке) ⇔
{ 5/y +8/3 =11/x ; 11(y -30/ y(62 -y) =11/x .
5/y +8/3 = 11(y -30/ y(62 -y) ;
15(62 -y) +8y(62 -y) = 33(y -30) ;
930 -15y +496y - 8y² = 33y -990 ;
8y² -448y -1920 =0
y² - 56y - 240 =0 D = 28²+240 =784+240 =1024 =32²
y = 28 ± 32 ⇒ y₁ = - 4 ; y₂ = 60
5/y + 8/3 = 11/x
- 5/4+8/3 = 11/x₁ ⇔ 17/12=11/x₁ ⇒ x₁ = 132/17 ;
5/60 +8/3 =11/x₂ ⇔ 1/12 +8/3 =11/x₂ ⇔ 33/12 =11/x₂ ⇒ x = 4 .
cм еще и приложение
Приложения:
Похожие вопросы
Предмет: Українська мова,
автор: nellymiskivua
Предмет: Русский язык,
автор: анна751
Предмет: Русский язык,
автор: fbghgfggg
Предмет: Химия,
автор: вадимжитин
Предмет: Математика,
автор: Naomi111