Предмет: Алгебра,
автор: ilyia772
Помогите пожалуйста ❤ Даю 50 баллов ☝
Приложения:
Ответы
Автор ответа:
2
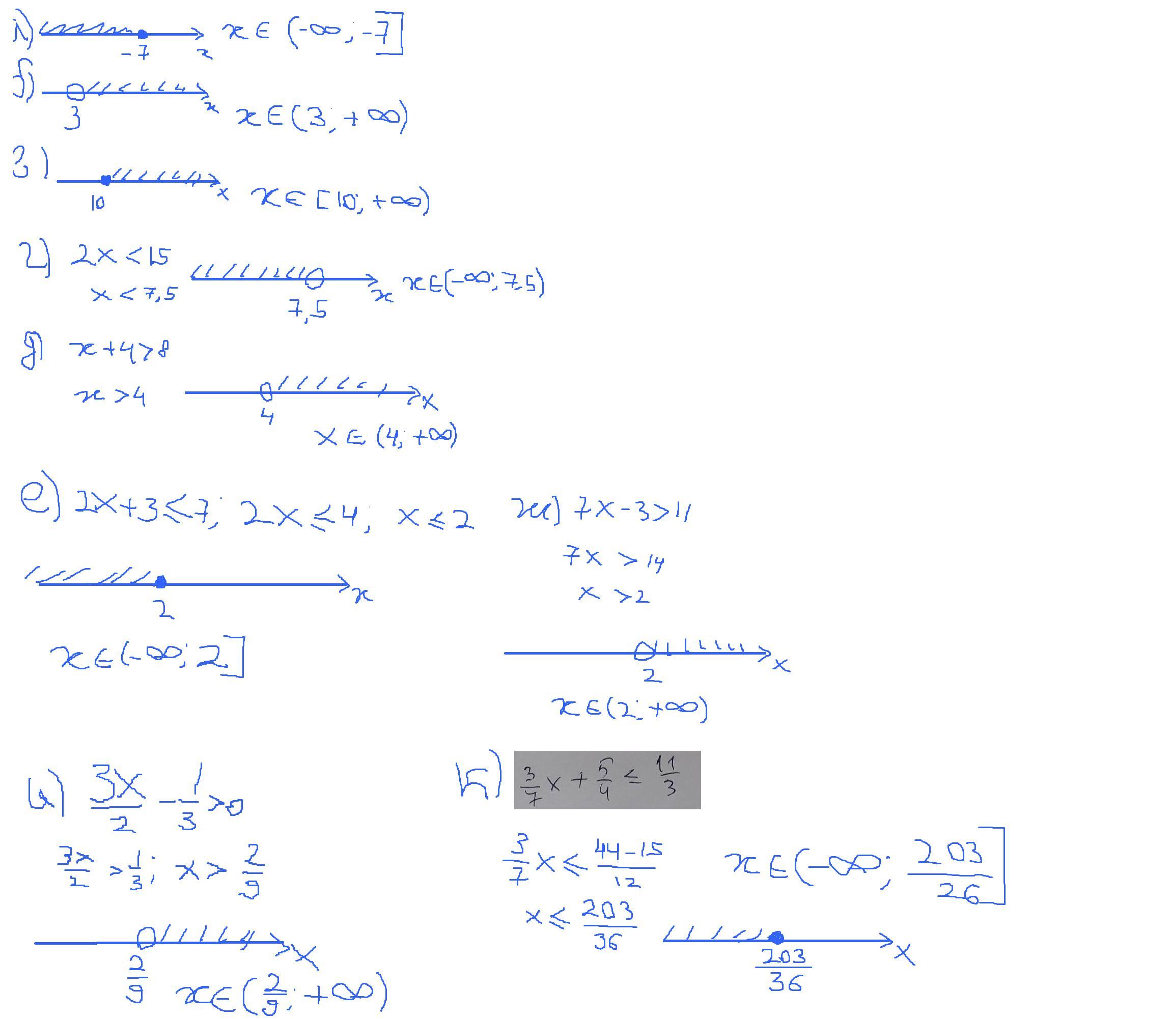
Ответ:
обратите внимание на то, где точки жирные и где проколотые, а так же где квадратные скобки в промежутках, а где круглые
желаю удачи выучить эту тему, она элементарная и ОЧЕНЬ нужна для сдачи ОГЭ и ЕГЭ
Приложения:
Похожие вопросы
Предмет: Русский язык,
автор: 123456789karina
Предмет: Русский язык,
автор: lilyacrimea
Предмет: Русский язык,
автор: wwwseregadelyi
Предмет: Химия,
автор: незнаяйка
Предмет: География,
автор: тина21254