Предмет: Алгебра,
автор: Ромашкаааа
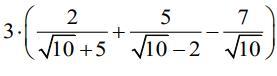
Решите данный пример!
Приложения:
Ответы
Автор ответа:
2
~~~~~~~~~~~~~~~~~~~~~
Приложения:
Похожие вопросы
Предмет: Русский язык,
автор: xinroks127
Предмет: Русский язык,
автор: alise006
Предмет: Русский язык,
автор: ole8008
Предмет: Математика,
автор: тюьим
Предмет: Алгебра,
автор: darimart1