Предмет: Математика,
автор: nalichkomaks84
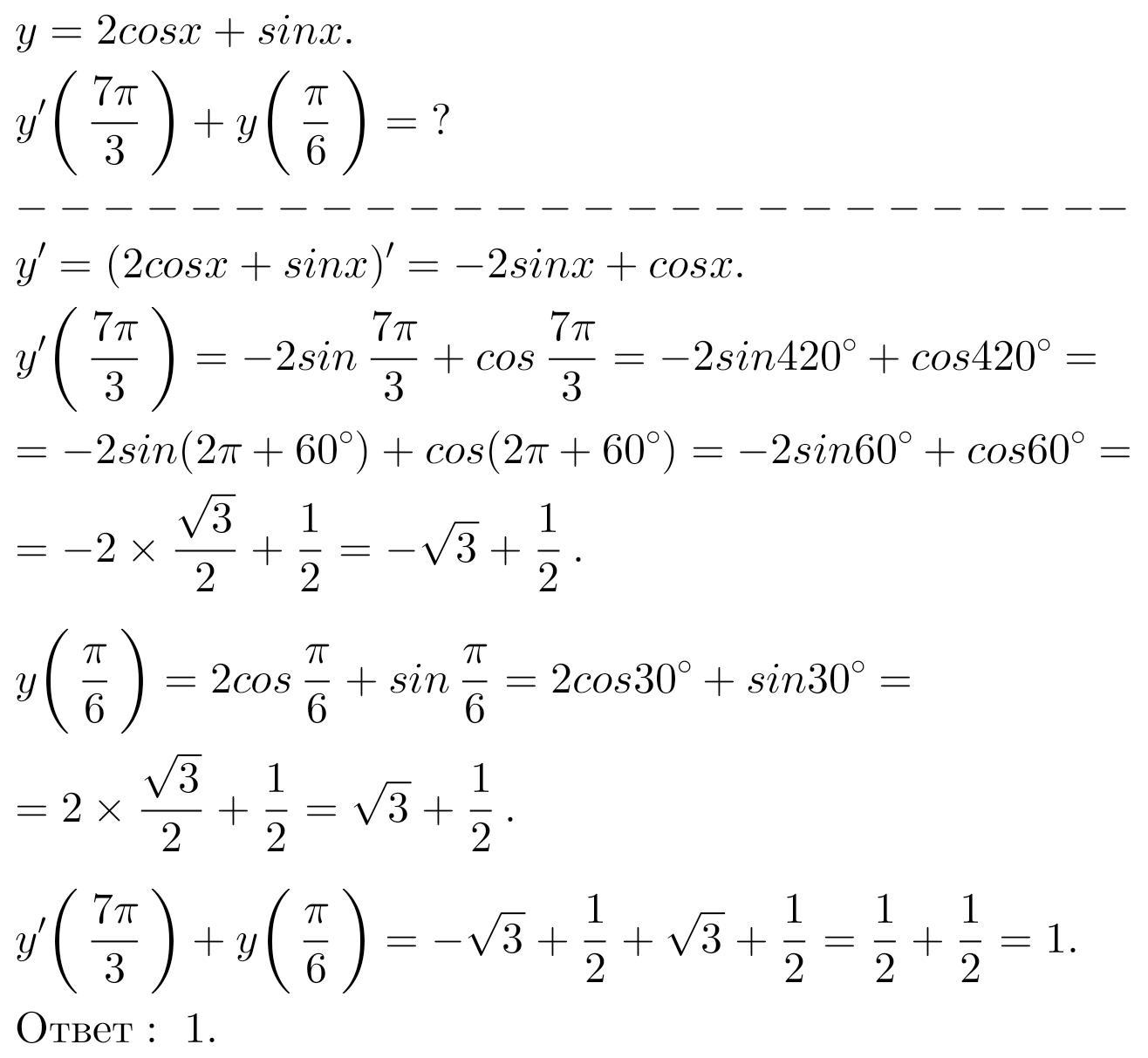
Вычислить
, где y=2 cos x + sin x
Ответы
Автор ответа:
4
~~~~~~~~~~~~~~~~~~~~
Приложения:
Похожие вопросы
Предмет: Русский язык,
автор: Аноним
Предмет: Русский язык,
автор: ДамирГ
Предмет: Русский язык,
автор: elektra198132
Предмет: Математика,
автор: денчира
Предмет: Математика,
автор: irazinnatullin