Предмет: Алгебра,
автор: xet6ot
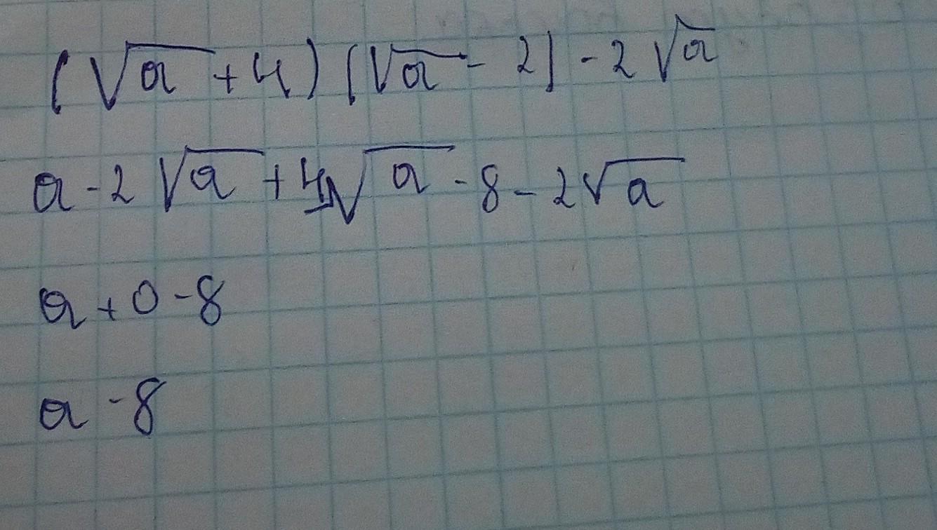
чому дорівнює значення виразу

Ответы
Автор ответа:
0
Я решил во вложении, надеюсь так)
Приложения:
Похожие вопросы
Предмет: Қазақ тiлi,
автор: kirill20022
Предмет: Русский язык,
автор: валерушакукуша
Предмет: Русский язык,
автор: veronikadoch
Предмет: Алгебра,
автор: dino32111