Предмет: Математика,
автор: nomand111
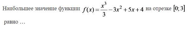
ребят помогите если знаете как сделать
Приложения:
nomand111:
я не знаю как делать
хмм
Ответы
Автор ответа:
0
Как то так! Удачи!!!
Приложения:
Похожие вопросы
Предмет: Русский язык,
автор: matsyukmasha
Предмет: Русский язык,
автор: isalena
Предмет: Русский язык,
автор: suzi355
Предмет: Химия,
автор: kochnevv77
Предмет: Обществознание,
автор: nkalitenko