Предмет: Математика,
автор: nomand111
помогите мне пожожда я не могу сделать это задания
Приложения:
Ответы
Автор ответа:
0
Ответ:20/3
Пошаговое объяснение:
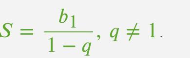
Сумму бесконечно убывающей прогрессии можно найти по формуле на фото
S=5:(1-1/4)=20/3
Приложения:
Похожие вопросы
Предмет: Қазақ тiлi,
автор: aliya2709
Предмет: Русский язык,
автор: irinaholmova
Предмет: Другие предметы,
автор: Alemence22
Предмет: История,
автор: ostapienko81
Предмет: Математика,
автор: vitos1723