Предмет: Математика,
автор: Eesus1
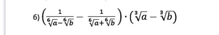
10класс,алгебра Упростите пожалуйста выражение:
Приложения:
Ответы
Автор ответа:
1
Решение задания прилагаю
Приложения:
Похожие вопросы
Предмет: Українська мова,
автор: Tanya1247
Предмет: Русский язык,
автор: Камилла005
Предмет: Русский язык,
автор: olesyazavodova
Предмет: Геометрия,
автор: tvilhard
Предмет: Физика,
автор: dariga123