Предмет: Математика,
автор: ViktorLesovkiy
Математика, 3 задания за 20 баллов
Приложения:
Ответы
Автор ответа:
1
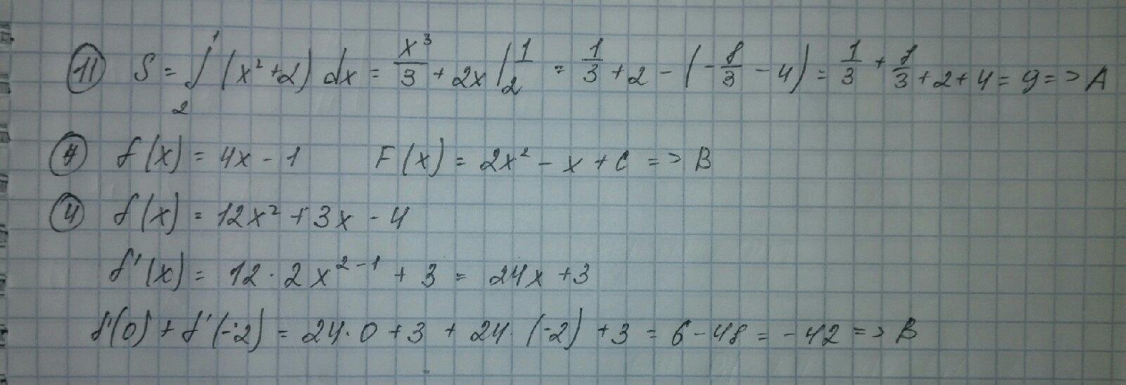
11. А
7. В
4. В
Решение в прикреплённом файле.
Приложения:
Похожие вопросы
Предмет: Русский язык,
автор: ks35ks35
Предмет: Русский язык,
автор: zimakov2005
Предмет: Русский язык,
автор: ilya222
Предмет: Биология,
автор: natalex225
Предмет: Математика,
автор: хомячок391