Предмет: Алгебра,
автор: kaplinau658
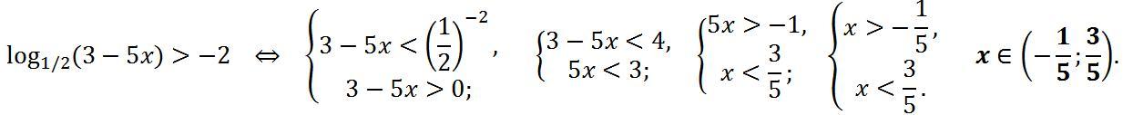
Решите неравенство log 1/2 (3-5x) >-2 СРОЧНО!!!!!!!!!!
Ответы
Автор ответа:
1
Ответ: (-1/5; 3/5)
========
Объяснение:
Приложения:
Похожие вопросы
Предмет: Русский язык,
автор: gfhnsitd
Предмет: Русский язык,
автор: CLEOPATI
Предмет: Русский язык,
автор: Taxi666111
Предмет: Физика,
автор: krutevich2015
Предмет: География,
автор: Vlad00190