Предмет: Математика,
автор: deeplyKiller5999
помагите!!!!!!! с 2 и 4 заданием
Приложения:
Ответы
Автор ответа:
1
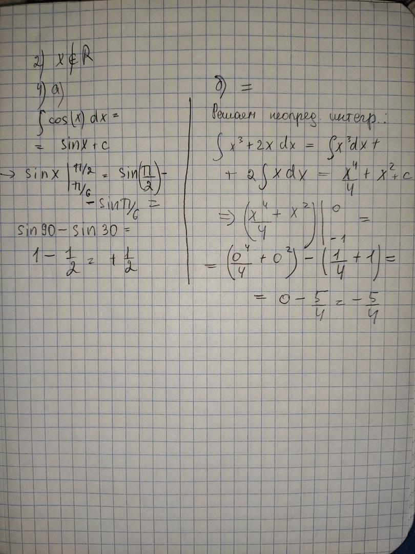
Ответ: 2) Производная =3/2+1/x^2
Приравниваем нулю, решаем уравнение : 3/2+1/х^2=0
Если рассуждать логически, левая часть уравнения всегда положительна, так как при любом икс дробь будет положительна, следовательно нет такого икс, что выражение до знака равно будет равно нулю, получаем X не принадлежит R
4) a) 1/2, б) -5/4
Приложения:
deeplyKiller5999:
спасибо большое
Похожие вопросы
Предмет: Русский язык,
автор: sinoptik31
Предмет: Русский язык,
автор: apelsinka6539
Предмет: Русский язык,
автор: picca
Предмет: Обществознание,
автор: hdbfiedjdfsu