Предмет: Математика,
автор: flixerlol
СРОЧНО помогите с математикой
Приложения:
Ответы
Автор ответа:
1
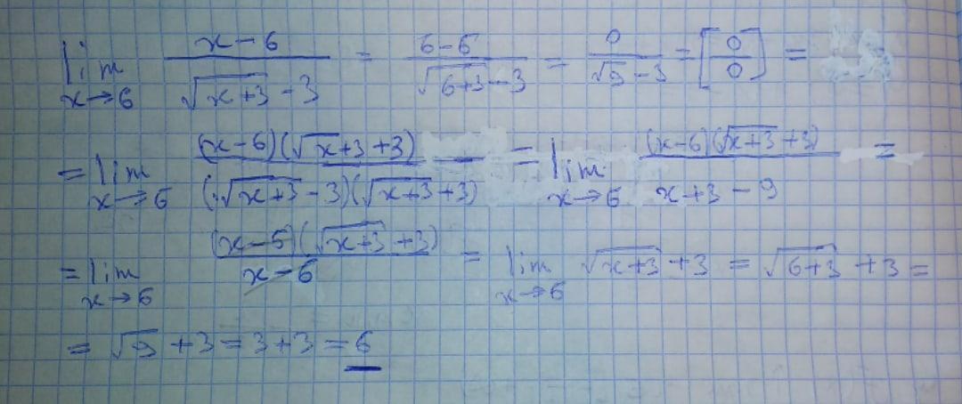
Ответ:
6
Пошаговое объяснение:
Решение на фото.
Приложения:
Похожие вопросы
Предмет: Русский язык,
автор: DocSD
Предмет: Русский язык,
автор: viktoria15let
Предмет: Русский язык,
автор: kaledich96
Предмет: Математика,
автор: али370
Предмет: Алгебра,
автор: davranbek1202