Предмет: Математика,
автор: KirillGloker
1)Здравствуйте, помогите решить примеры, с полным решением. Спасибо
Приложения:
KirillGloker:
Время выполнения 40 минут
осталось 6 мин
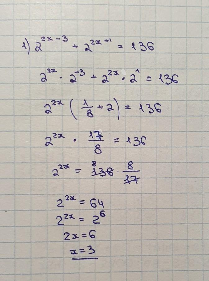
1) 2^2x(1/8+2)=136 => 2^2x=64 => 2x=6 => x=3
Спасибо
все, время кончилось....
2) log_2(x(x-7))<=3 => ОДЗ: x>7 => a=2>1 => x(x-7)<=2^3 => x^2-7x-8=0 => (x-8)(x+1)<=0 =>x принадлежит [-1; 8] => Ответ: (7; 8]
Спасибо, благослови тебя все бога
Ответы
Автор ответа:
0
Ответ:
решение на фотографиях
Приложения:
Похожие вопросы
Предмет: Русский язык,
автор: lora63
Предмет: Английский язык,
автор: бед0павлик
Предмет: Русский язык,
автор: smiley48
Предмет: Химия,
автор: 2001ЗНАНИЯ
Предмет: Алгебра,
автор: iChumakovsky