Предмет: Математика,
автор: kyberbaby
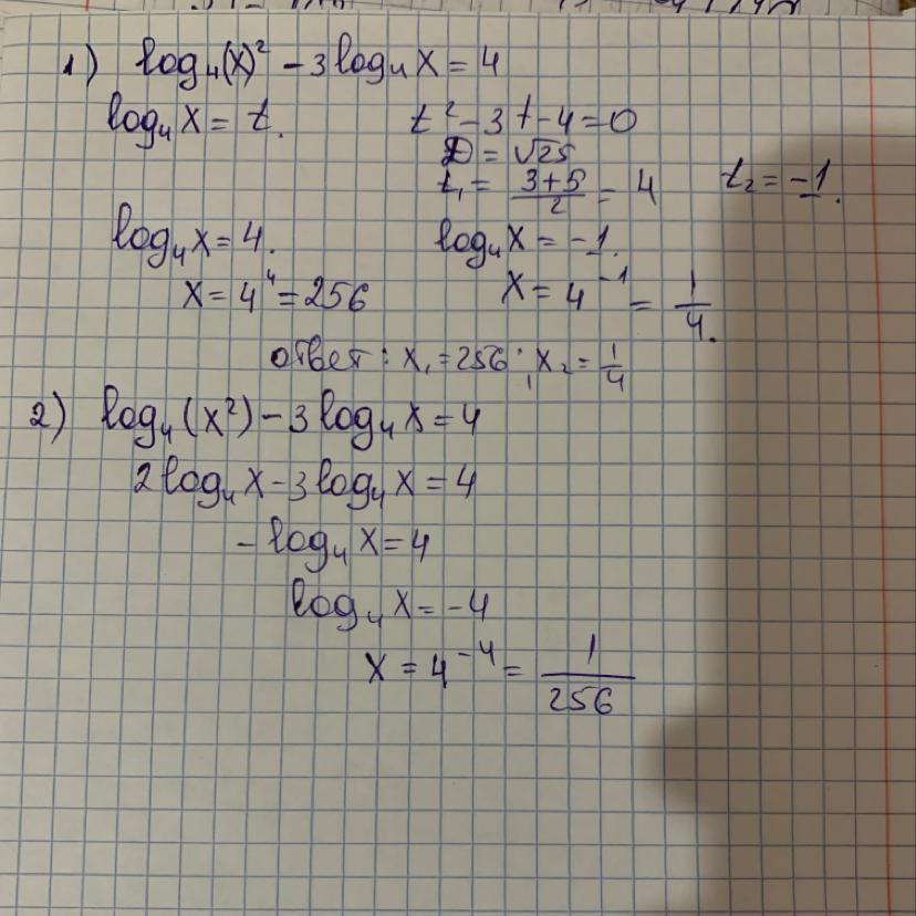
помогите срочно, 1 задание, 2 ненужно, с полным решением 3 задания.
Приложения:
kyberbaby:
спасибо огромное, надеюсь сдам сессию)
Вам спасибо. Удачи
Ответы
Автор ответа:
1
Решение третьего задания
Приложения:
Похожие вопросы
Предмет: Английский язык,
автор: Exclusive15
Предмет: Українська мова,
автор: NadyaPlatova
Предмет: Русский язык,
автор: тинатин2000
Предмет: Физика,
автор: pahnina2002
Предмет: Химия,
автор: ппвппа