Предмет: Математика,
автор: LookerBlaze
Помогите с математикой
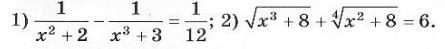
Решить уравнения
Приложения:
Ответы
Автор ответа:
0
Ответ:
LookerBlaze:
А можно решение ?
Похожие вопросы
Предмет: Другие предметы,
автор: babarykina45
Предмет: Английский язык,
автор: anetfilchakova
Предмет: Другие предметы,
автор: Almaz200535
Предмет: Литература,
автор: Милена33555
Предмет: Математика,
автор: mustafaeva192002