Предмет: Математика,
автор: volkalena
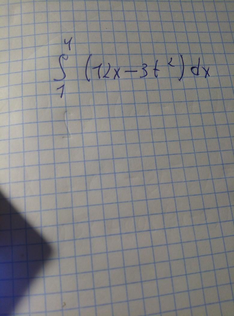
Помогите пожалуйста вычисть
Приложения:
dimauchenik654454:
-3t в квадрате??
Или это x?
Да, откуда там t? Это в условии так дано?
Да
Ответы
Автор ответа:
0
Ответ:
90 - 9t^2
Пошаговое объяснение:
Так как интегрирование идет по иксу, то к t относимся как к обычной константе.
Приложения:
Автор ответа:
0
Пошаговое объяснение:
Всё зависит от параметра t. Но я вам помогу.
однако мне кажется что там было не dx, а dxdt. Если да, то напишите мне в инстаграм. с удовольствием отвечу:)
Приложения:
Похожие вопросы
Предмет: Английский язык,
автор: Shasha32
Предмет: Русский язык,
автор: pavlova20200
Предмет: Русский язык,
автор: sevgi22
Предмет: Математика,
автор: KVS11
Предмет: История,
автор: rubanekosveta4802