Предмет: Геометрия,
автор: didi8888
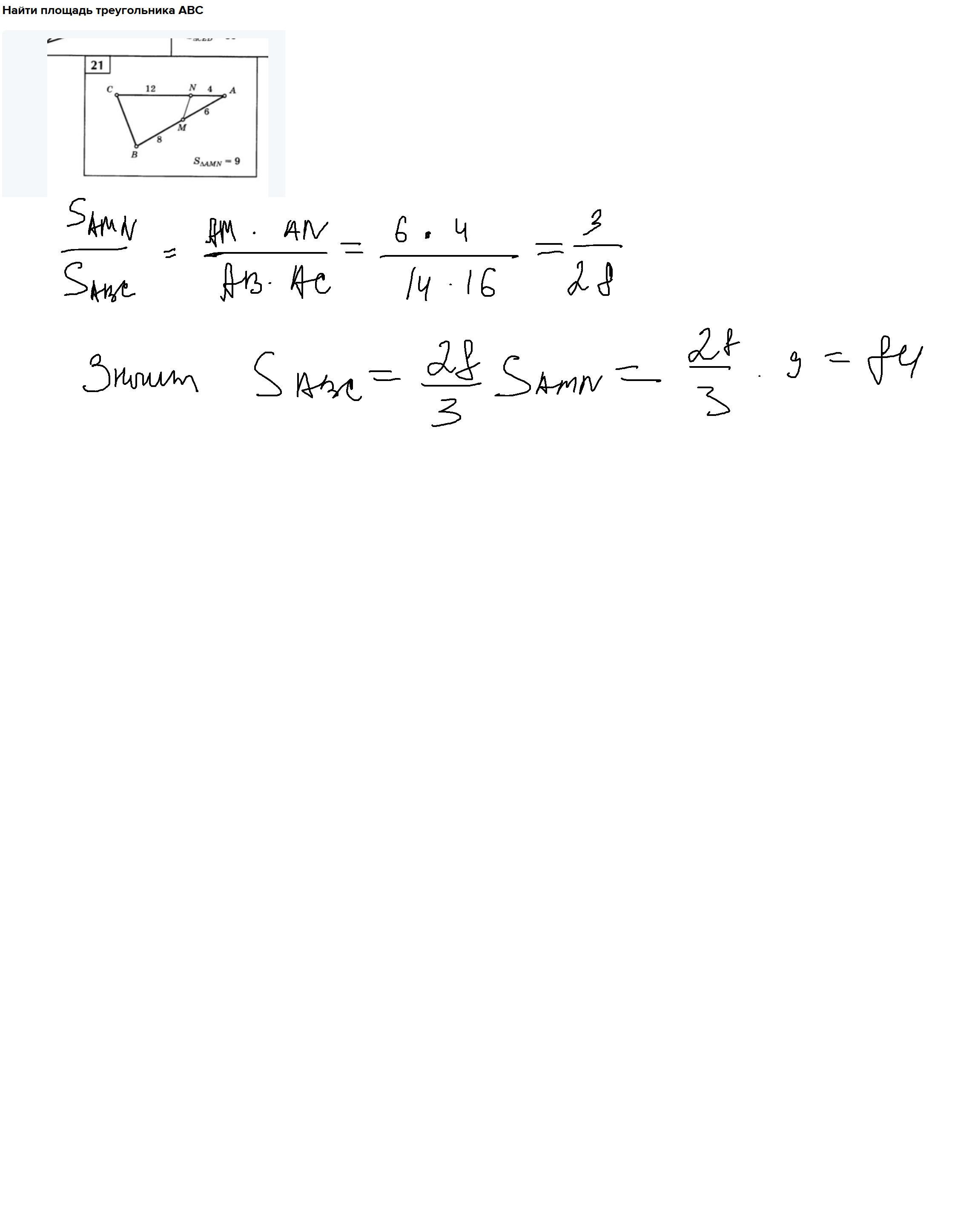
Найти площадь треугольника АВС
Приложения:
Ответы
Автор ответа:
1
Ответ:
Объяснение:Найти площадь треугольника АВС
Приложения:
Похожие вопросы
Предмет: Русский язык,
автор: Vladtoporishe
Предмет: Русский язык,
автор: tananasibulina
Предмет: Русский язык,
автор: kadirovismail
Предмет: Геометрия,
автор: jesuslove2177
Предмет: Математика,
автор: мохито2