Предмет: Алгебра,
автор: lyntikkkkkk
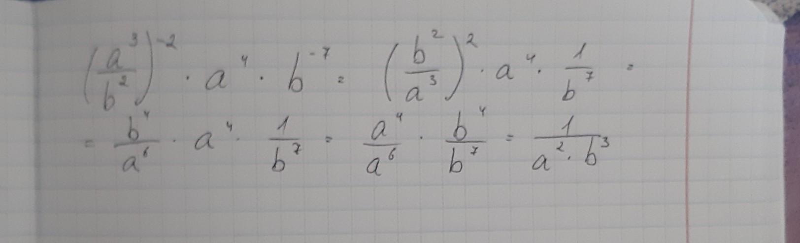
упростить выражение!!)
Приложения:
Ответы
Автор ответа:
0
Объяснение:
сначала переворачиваем дробь, так как её степень отрицательна и потом возводим.
Когда одинаковые значения делятся их степени отнимаются
Приложения:
Похожие вопросы
Предмет: Українська мова,
автор: Orange07
Предмет: Русский язык,
автор: Бэтмэн1245
Предмет: Другие предметы,
автор: 89028302572
Предмет: Алгебра,
автор: Диана2502